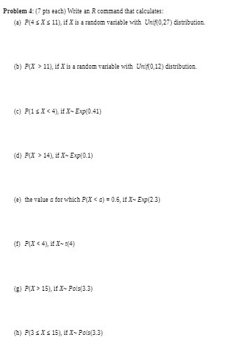
Question: Problem 4: (7 pts each) Write an R commend thet calculates: () P(4 11), if X is a random variable with Unif(0,12) distribution. (C) P(1

Problem 4: (7 pts each) Write an R commend thet calculates: () P(4 11), if X is a random variable with Unif(0,12) distribution. (C) P(1 s X 14), if X- Exp(0.1) (e) the value a for which P(X 15), if X-Pois(3.3) (h) F(8
Step by Step Solution
There are 3 Steps involved in it
Get step-by-step solutions from verified subject matter experts
