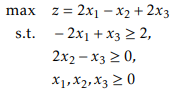
Question: Problem 4 Use the big- M method to determine if the following problems are optimal, infeasible or unbounded. Find the optimal solutions if optimal. maxs.t.z=2x1x2+2x32x1+x322x2x30x1,x2,x30


Problem 4 Use the big- M method to determine if the following problems are optimal, infeasible or unbounded. Find the optimal solutions if optimal. maxs.t.z=2x1x2+2x32x1+x322x2x30x1,x2,x30
Step by Step Solution
There are 3 Steps involved in it
Get step-by-step solutions from verified subject matter experts
