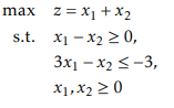
Question: Problem 4 Use the big- M method to determine if the following problems are optimal, infeasible or unbounded. Find the optimal solutions if optimal. maxs.t.z=x1+x2x1x203x1x23x1,x20


Problem 4 Use the big- M method to determine if the following problems are optimal, infeasible or unbounded. Find the optimal solutions if optimal. maxs.t.z=x1+x2x1x203x1x23x1,x20
Step by Step Solution
There are 3 Steps involved in it
Get step-by-step solutions from verified subject matter experts
