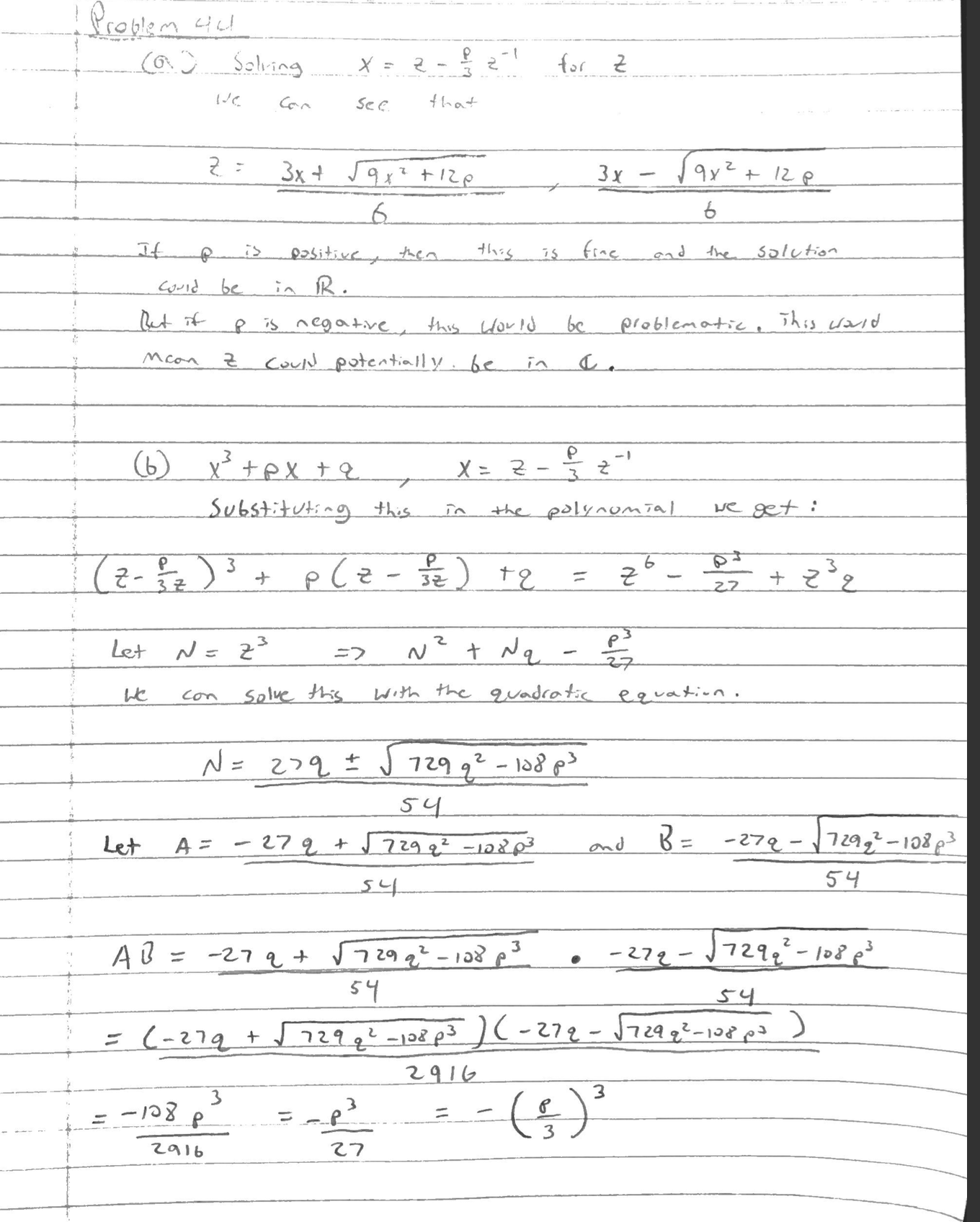
Question: Problem # 44: To determine whether the polynomial x3 + 1358 l q has roots in R or (C, the substitution :5 = z 24



Problem # 44: To determine whether the polynomial x3 + 1358 l q has roots in R or (C, the substitution :5 = z 24 is suggested. (Note: The absence of a quadratic term is no loss of generality since a shift substitution y = as + 02/3 can eliminate the quadratic term from $3 +02az2 + (:12: + co = 0.) p (a) Is it true or not that for every 3:, there exists some 2 such that 2: = z 321? Your answer may depend on whether at or 2 should be elements of R or of C. Note: The same question can be asked in any field in which 3 := 1 + 1 + 1 and 2 := 1 + 1 are non-zero, but we'll stick with R and (C here. (b) Obtain a quadratic equation for 23 that z must satisfy if :17 = z z_1 satises :33 +pw+q = 0; solve this quadratic equation. Call its two solutions A and B. Show that AB = ()3. Also show that A, B are real if and only if the discriminant A := (g)2 + (33')3 is non-negative. (0) Should A, B be real, you may introduce \\3/Z and 3/? Give a formula for a real solution x as a sum of two cube roots in this case, using that W 3/ : . Should A,B be complex (9! R), explain why this does not imply that there are no real solutions cc to the original equation. (d) First show that the non-real solutions to the equation 1&3 = 1 in C are 0.} = JENE and w2 = 1i3[3_ 2 Next, considering the case when A, B are not real (be it that p, q are real or merely that they are in C), you may accept from Euler's formula 6\" = 1 and the representation of any complex number 2 as z = we\"5 that there are three complex solutions (11,32 = mar, (13 = 6.5le to the eqn 23 = A and likewise 51,172 = blw, b3 = by? for the equation 23 = B. Find three solutions a: to the given cubic equation by combining appropriate pairs of oz- and bj in analogy to part (c). (e) Now assume specically that p, q are real. Show rst: If :53 +1.01: + q = 0 has real solutions a, b, c, then A := (%)2 + (g)? is negative, so we will not nd any of the real solutions through the formula in (c) as applied only within the ring R (i.e., without any intermediate reference to complex numbers). Hint: You can express c in terms of a, I) because the coefcient of :32 in the cubic equation is assumed to be 0. When nally trying to factor A, observe that it vanishes when a = b, and also when a = 2b and when 2a = b. Next show that if :33 + pa + q = O has a pair of complex solutions a :l: ib (what is the 3rd solution then?), then A > 0. Problem will for 2 16 Con see that 2 : 3 x + 5 9 x 3 + 120 3 x - 1 9 x 2 + 12 p 6 If p is positive, then this is fine and the solution could be in R . But of p is negative , this would be problematic . This world Mcan 2 could potentially be in C. ( 6 ) x 3 + p x + 2 X = 2 - 2 2 " Substituting this in the polynomial we get ! ( 2 - 1 2 ) 3 + p ( 2 - 32 ) +9 = 26 - 22 + 2 2 Let N = 23 => N 2 + Nq - 23 we can solve this with the quadratic equation. N = 279 + J 729 92 - 108 p3 Let A = - 27 9 + 5 729 92 - 102 03 and B = - 279 - 1 729 , 2 - 108 p3 54 AL = - 27 9 + 1 72922- 108 pJ . - 272 - 1729 2 2 - 108 3 54 5 4 = ( - 2 7 9 + 1 7 2 9 , 2 - 128 p 3 ) ( - 27 9 - 5729 q2-108 p2 ) 29 1 6 = - 108 p E 2916 ( : )
Step by Step Solution
There are 3 Steps involved in it
Get step-by-step solutions from verified subject matter experts
