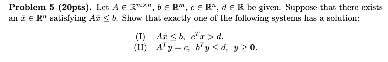
Question: Problem 5 (20pts). Let A E Rmxn, bE RM, c E R, d'E R be given. Suppose that there exists an TER satisfying Ax d.

Problem 5 (20pts). Let A E Rmxn, bE RM, c E R", d'E R be given. Suppose that there exists an TER" satisfying Ax d. (II) ATy = c, by
Step by Step Solution
There are 3 Steps involved in it
Get step-by-step solutions from verified subject matter experts
