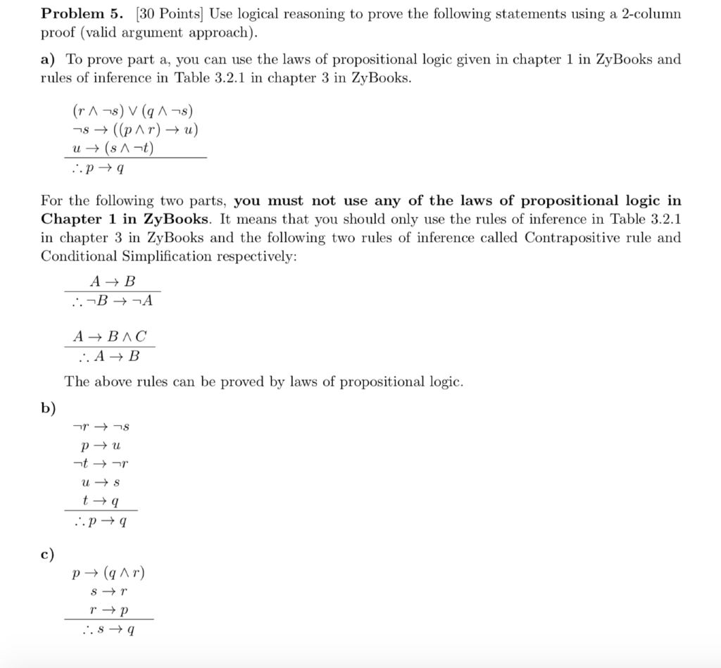
Question: Problem 5. [30 Points] Use logical reasoning to prove the following statements using a 2-column proof (valid argument approach). a) To prove part a, you
![Problem 5. [30 Points] Use logical reasoning to prove the following](https://dsd5zvtm8ll6.cloudfront.net/si.experts.images/questions/2024/09/66f3c05de1e04_52566f3c05d6a8f4.jpg)
Problem 5. [30 Points] Use logical reasoning to prove the following statements using a 2-column proof (valid argument approach). a) To prove part a, you can use the laws of propositional logic given in chapter 1 in ZyBooks and rules of inference in Table 3.2.1 in chapter 3 in ZyBooks. S- (r 1-8) V (q^-8) ((p^r) u) u +($ 1-t) .:p For the following two parts, you must not use any of the laws of propositional logic in Chapter 1 in ZyBooks. It means that you should only use the rules of inference in Table 3.2.1 in chapter 3 in ZyBooks and the following two rules of inference called Contrapositive rule and Conditional Simplification respectively: A + B ..-B + A - A + B The above rules can be proved by laws of propositional logic. 71-75 pu tar us t ..p +9 c) p (qar) S r+P H.S
Step by Step Solution
There are 3 Steps involved in it
Get step-by-step solutions from verified subject matter experts
