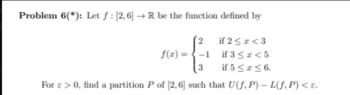
Question: Problem 6(*): Let f : [2, 6] - R be the function defined by 2 if 2 0, find a partition P of [2, 6]
![Problem 6(*): Let f : [2, 6] - R be the function](https://dsd5zvtm8ll6.cloudfront.net/si.experts.images/questions/2025/02/67a6f45101306_76867a6f450e0d67.jpg)
Step by Step Solution
There are 3 Steps involved in it
1 Expert Approved Answer
Step: 1 Unlock
Question Has Been Solved by an Expert!
Get step-by-step solutions from verified subject matter experts
Step: 2 Unlock
Step: 3 Unlock
