Question: Problem (Probabilistic Inventory Model Total 15pes) The SmartAuto is a car dealer that sells new cars Customer Demands and Onder Delivery Time from the car

Problem (Probabilistic Inventory Model Total
Problem (Probabilistic Inventory Model Total
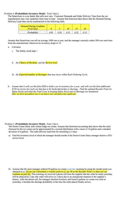
Problem (Probabilistic Inventory Model Total 15pes) The SmartAuto is a car dealer that sells new cars Customer Demands and Onder Delivery Time from the car manufacturer may vary randomly from time to time. Assume that historical data shows that the Demand During Delivery Lead-time can be summarized in the following table Demand During Lealtime Cars 20 005 0.20 035 0.25 0.15 Assume that SmartAuto can sell on average 1000 can a year, and the manager currently orders: 200 cas cachine from the manufacturer whenever its inventory drops to 12. Calwlate The Safety Mack kepe the Chance ce of Stickout, and the Service level it. the Expected number of shortages that may dewr within Eack Ordering Code Arumer shat it will cost the form $200 to hold a car in inventory for a year, and will course for 3150 on service for each car that has to be backundered due to shortage Find the optimal Reader Paint for Safety Stock rock har the Total Continuing Safety Stack and Shartarar mind Problem S. (Probabilistic Inventory Model Total Spies) The Sweet Cream Dairy sells walnut fudge ice cream. Assume that hocal accounting data shows that the daily Demand for the ice cream can be approximated by a normal distribution with a mean of 10 allemand anderd deviation of 6 gallons. The onder delivery lead-time for restocking is 2 days a) Find the inventory level at which the manager should reorder if the Sweet Cream Dairy manager dieses 92% service level b) Assume that the store manager ondered Salons ice cream werdey moming by using the sonder point you obtained in a), you can determine a reorder po i ke 30 arte Render Pant) so hayo.com CON e part). This moming, he received a phone call from the supplier that the order he made yesterday will be delayed by 2 day the order will arrive in 3 days) due to an unexpected tution in the per's factory. After the phone call, the manager checked inventory and found 6 pallons ice cream weldo yesterday. Calculate the shortage probability at the time the order placed finally arrives Problem (Probabilistic Inventory Model Total 15pes) The SmartAuto is a car dealer that sells new cars Customer Demands and Onder Delivery Time from the car manufacturer may vary randomly from time to time. Assume that historical data shows that the Demand During Delivery Lead-time can be summarized in the following table Demand During Lealtime Cars 20 005 0.20 035 0.25 0.15 Assume that SmartAuto can sell on average 1000 can a year, and the manager currently orders: 200 cas cachine from the manufacturer whenever its inventory drops to 12. Calwlate The Safety Mack kepe the Chance ce of Stickout, and the Service level it. the Expected number of shortages that may dewr within Eack Ordering Code Arumer shat it will cost the form $200 to hold a car in inventory for a year, and will course for 3150 on service for each car that has to be backundered due to shortage Find the optimal Reader Paint for Safety Stock rock har the Total Continuing Safety Stack and Shartarar mind Problem S. (Probabilistic Inventory Model Total Spies) The Sweet Cream Dairy sells walnut fudge ice cream. Assume that hocal accounting data shows that the daily Demand for the ice cream can be approximated by a normal distribution with a mean of 10 allemand anderd deviation of 6 gallons. The onder delivery lead-time for restocking is 2 days a) Find the inventory level at which the manager should reorder if the Sweet Cream Dairy manager dieses 92% service level b) Assume that the store manager ondered Salons ice cream werdey moming by using the sonder point you obtained in a), you can determine a reorder po i ke 30 arte Render Pant) so hayo.com CON e part). This moming, he received a phone call from the supplier that the order he made yesterday will be delayed by 2 day the order will arrive in 3 days) due to an unexpected tution in the per's factory. After the phone call, the manager checked inventory and found 6 pallons ice cream weldo yesterday. Calculate the shortage probability at the time the order placed finally arrives Problem (Probabilistic Inventory Model Total 15pes) The SmartAuto is a car dealer that sells new cars Customer Demands and Onder Delivery Time from the car manufacturer may vary randomly from time to time. Assume that historical data shows that the Demand During Delivery Lead-time can be summarized in the following table Demand During Lealtime Cars 20 005 0.20 035 0.25 0.15 Assume that SmartAuto can sell on average 1000 can a year, and the manager currently orders: 200 cas cachine from the manufacturer whenever its inventory drops to 12. Calwlate The Safety Mack kepe the Chance ce of Stickout, and the Service level it. the Expected number of shortages that may dewr within Eack Ordering Code Arumer shat it will cost the form $200 to hold a car in inventory for a year, and will course for 3150 on service for each car that has to be backundered due to shortage Find the optimal Reader Paint for Safety Stock rock har the Total Continuing Safety Stack and Shartarar mind Problem S. (Probabilistic Inventory Model Total Spies) The Sweet Cream Dairy sells walnut fudge ice cream. Assume that hocal accounting data shows that the daily Demand for the ice cream can be approximated by a normal distribution with a mean of 10 allemand anderd deviation of 6 gallons. The onder delivery lead-time for restocking is 2 days a) Find the inventory level at which the manager should reorder if the Sweet Cream Dairy manager dieses 92% service level b) Assume that the store manager ondered Salons ice cream werdey moming by using the sonder point you obtained in a), you can determine a reorder po i ke 30 arte Render Pant) so hayo.com CON e part). This moming, he received a phone call from the supplier that the order he made yesterday will be delayed by 2 day the order will arrive in 3 days) due to an unexpected tution in the per's factory. After the phone call, the manager checked inventory and found 6 pallons ice cream weldo yesterday. Calculate the shortage probability at the time the order placed finally arrives Problem (Probabilistic Inventory Model Total 15pes) The SmartAuto is a car dealer that sells new cars Customer Demands and Onder Delivery Time from the car manufacturer may vary randomly from time to time. Assume that historical data shows that the Demand During Delivery Lead-time can be summarized in the following table Demand During Lealtime Cars 20 005 0.20 035 0.25 0.15 Assume that SmartAuto can sell on average 1000 can a year, and the manager currently orders: 200 cas cachine from the manufacturer whenever its inventory drops to 12. Calwlate The Safety Mack kepe the Chance ce of Stickout, and the Service level it. the Expected number of shortages that may dewr within Eack Ordering Code Arumer shat it will cost the form $200 to hold a car in inventory for a year, and will course for 3150 on service for each car that has to be backundered due to shortage Find the optimal Reader Paint for Safety Stock rock har the Total Continuing Safety Stack and Shartarar mind Problem S. (Probabilistic Inventory Model Total Spies) The Sweet Cream Dairy sells walnut fudge ice cream. Assume that hocal accounting data shows that the daily Demand for the ice cream can be approximated by a normal distribution with a mean of 10 allemand anderd deviation of 6 gallons. The onder delivery lead-time for restocking is 2 days a) Find the inventory level at which the manager should reorder if the Sweet Cream Dairy manager dieses 92% service level b) Assume that the store manager ondered Salons ice cream werdey moming by using the sonder point you obtained in a), you can determine a reorder po i ke 30 arte Render Pant) so hayo.com CON e part). This moming, he received a phone call from the supplier that the order he made yesterday will be delayed by 2 day the order will arrive in 3 days) due to an unexpected tution in the per's factory. After the phone call, the manager checked inventory and found 6 pallons ice cream weldo yesterday. Calculate the shortage probability at the time the order placed finally arrives

Step by Step Solution

There are 3 Steps involved in it

1 Expert Approved Answer
Step: 1 Unlock blur-text-image
Question Has Been Solved by an Expert!

Get step-by-step solutions from verified subject matter experts

Step: 2 Unlock
Step: 3 Unlock

Students Have Also Explored These Related General Management Questions!