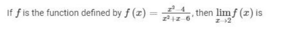
Question: Problems: 1. x2 41 + 8 for z < 2 for z = 2 for x > 2
Problems:
1.





x2 41 + 8 for z < 2 for z = 2 for x > 2
Step by Step Solution
There are 3 Steps involved in it
Get step-by-step solutions from verified subject matter experts
