Question: PROBLEMS 1. Two forces act on an object at an angle of 60 to each other. One force has a magnitude of 200 N and




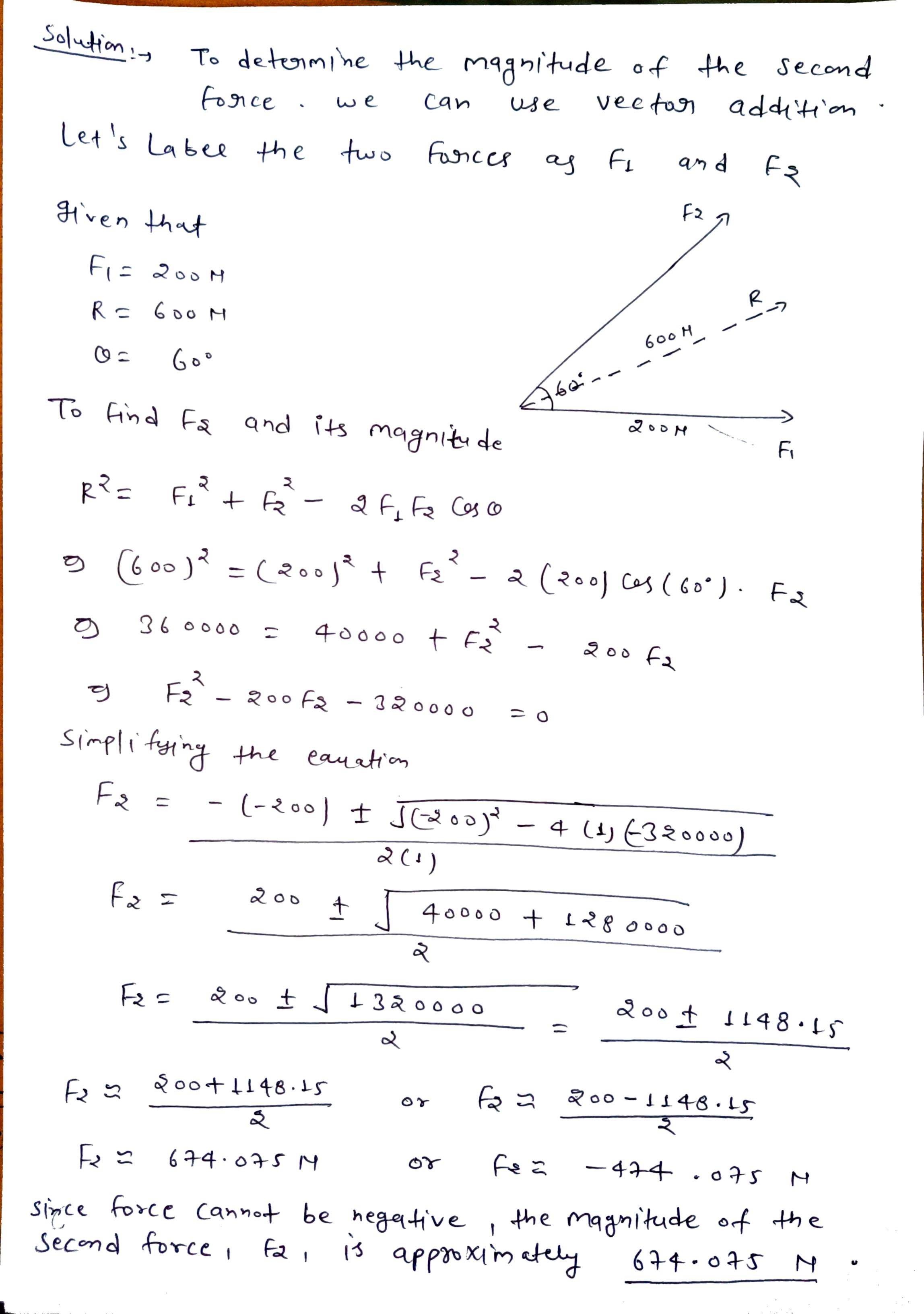
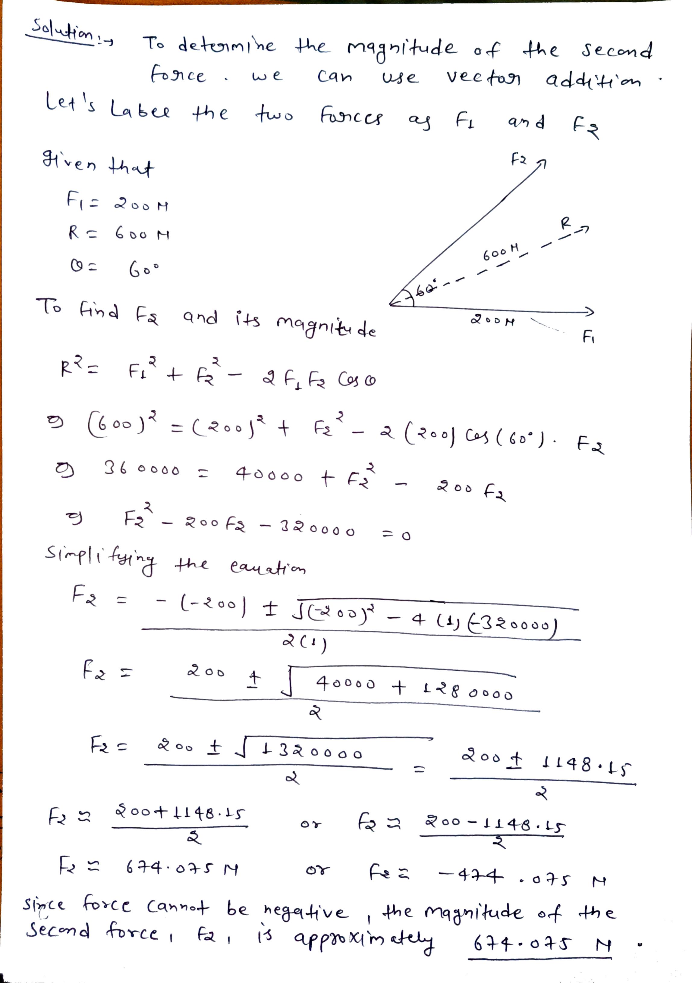
PROBLEMS 1. Two forces act on an object at an angle of 60" to each other. One force has a magnitude of 200 N and the resultant has a magnitude of 600 N. Determine the magnitude of the second force. Draw a chegrow to reflect the situation. 5solution ." To determine the magnitude of the second force . we can use vector addition. Let's label the two forces as FI and fs F2 . given that F1= 20 0 M R _ R = 600 M 60 0 H - O = GO To find Fa and its magnitude 2 0 0 M FI R ? = FI + 2 - 2 F, F2 Caso 9 ( 600 ) ? = ( 20 0 ) 2 + FE - 2 ( 20 0 ) Ces ( 60 ' ) . F & 36 0000 = 40000 + F2 - 200 fg 2 F2 - 200 F2 - 120000 = 0 simplifying the cauation Fa = - (- 200) + J (-20 0)? - 4 (1) ( 320000) 2 ( 1 ) 200 + 400 00 + 128 0000 2 F2 = doo t 1 3200 0. 200 1 1148. 15 800+1 148. 15 For = 200- 1148. 15 F2 = 674. 075 14 Fe z - 474 . 075 M since force cannot be negative , the magnitude of the second force, F2, is approximately 674-075 1
Step by Step Solution
There are 3 Steps involved in it
Get step-by-step solutions from verified subject matter experts
