Question: Programming in Common Lisp 1. Create the network in Figure 1 using the following code: (setf min '((a b c) (b c) (c d))) 2.
Programming in Common Lisp
1. Create the network in Figure 1 using the following code: (setf min '((a b c) (b c) (c d)))

2. Run shortest-path to find the shortest path between the following nodes a and d (Hint: enter (shortest-path 'a 'd min)).
3. Recreate the network in Figure 1 by entering: (setf min ((a b) (b c) (c d)))
4. Find the shortest path between a and d again. Was there a change?
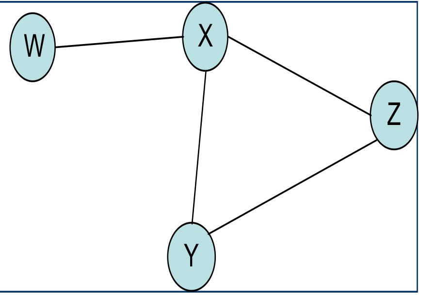
5. Redefine the min function to create the network shown in Figure 2.

8. Run shortest-path to find the shortest path between nodes w and z.
Step by Step Solution
There are 3 Steps involved in it
Get step-by-step solutions from verified subject matter experts
