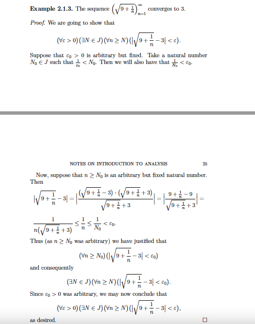
Question: prove D3 Example 2.1.3. The sequence (V/9+ : converges to 3. n-1 Proof. We are going to show that (VE > 0) (3N E J)
prove D3


Step by Step Solution
There are 3 Steps involved in it
1 Expert Approved Answer
Step: 1 Unlock
Question Has Been Solved by an Expert!
Get step-by-step solutions from verified subject matter experts
Step: 2 Unlock
Step: 3 Unlock
