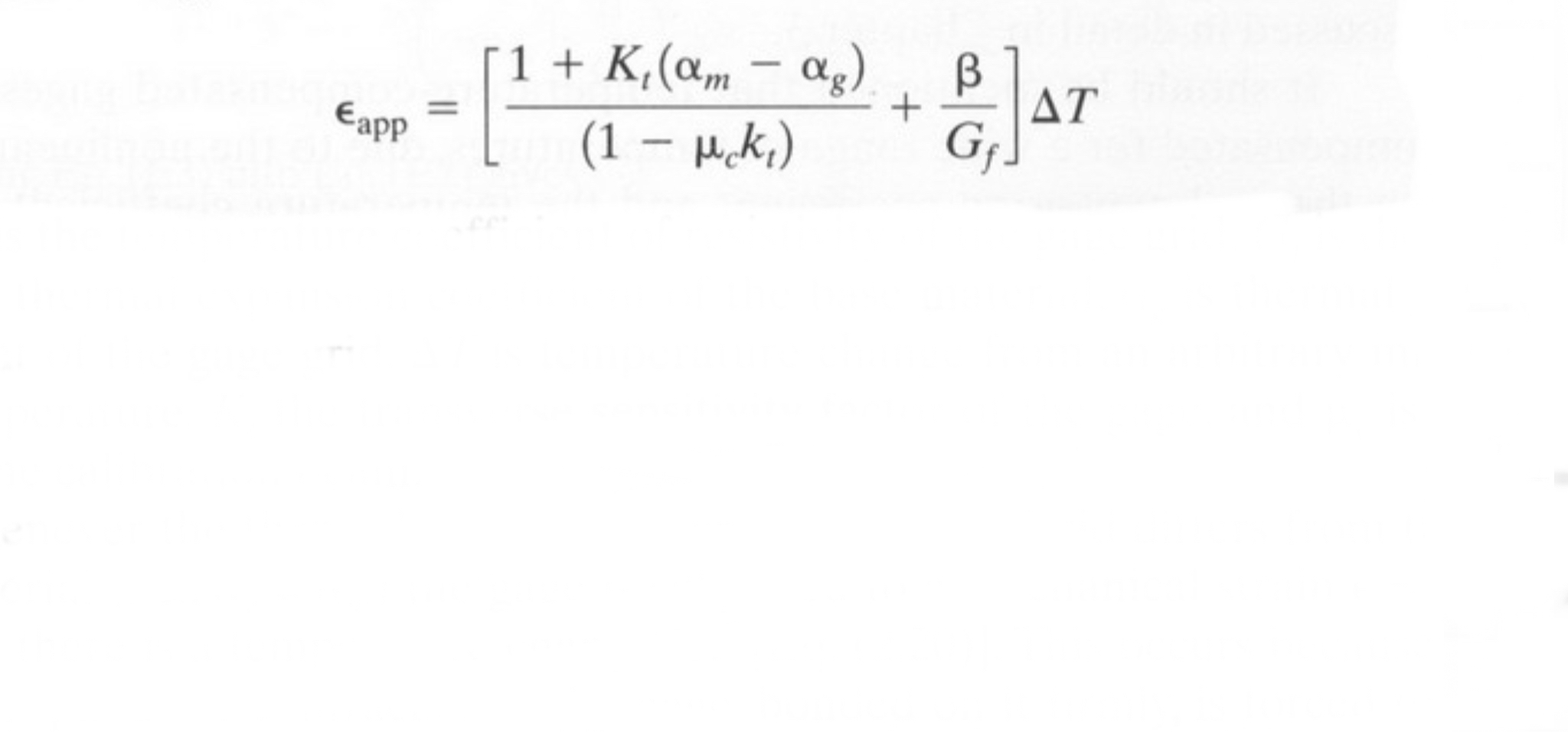
Question: Prove this equation : l o n a p p = [ 1 + K t ( m - g ) ( 1 - c
Prove this equation :
Step by Step Solution
There are 3 Steps involved in it
1 Expert Approved Answer
Step: 1 Unlock
Question Has Been Solved by an Expert!
Get step-by-step solutions from verified subject matter experts
Step: 2 Unlock
Step: 3 Unlock
