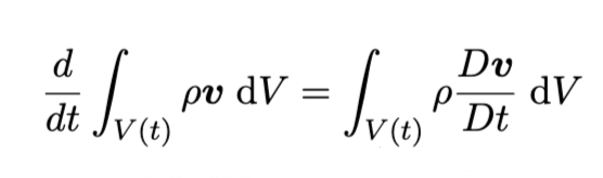
Question: Prove this relation using Reynolds transport theorem and continuity equation, where V ( t ) is a material volume deforming with the fluid. d d
Prove this relation using Reynolds transport theorem and continuity equation, where Vt is a material volume deforming with the fluid.
Step by Step Solution
There are 3 Steps involved in it
1 Expert Approved Answer
Step: 1 Unlock
Question Has Been Solved by an Expert!
Get step-by-step solutions from verified subject matter experts
Step: 2 Unlock
Step: 3 Unlock
