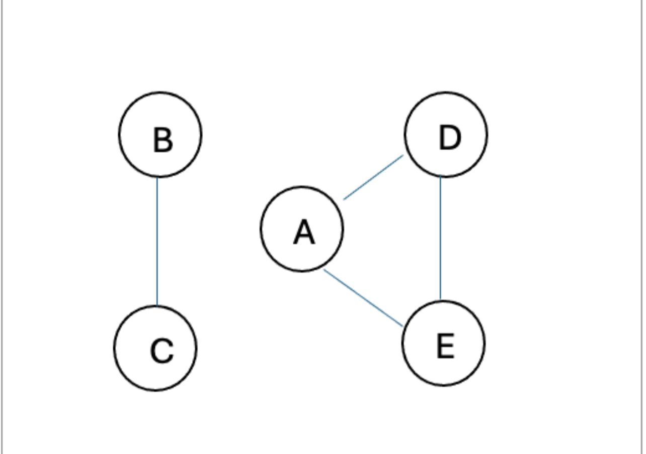
Question: Provide a path from the above graph from node A to node E by listing, in order, the labels on the vertices. ( use a
Provide a path from the above graph from node A to node E by listing, in order, the labels on the vertices.use a comma to separate the labels, and don't add any spaces
Step by Step Solution
There are 3 Steps involved in it
1 Expert Approved Answer
Step: 1 Unlock
Question Has Been Solved by an Expert!
Get step-by-step solutions from verified subject matter experts
Step: 2 Unlock
Step: 3 Unlock
