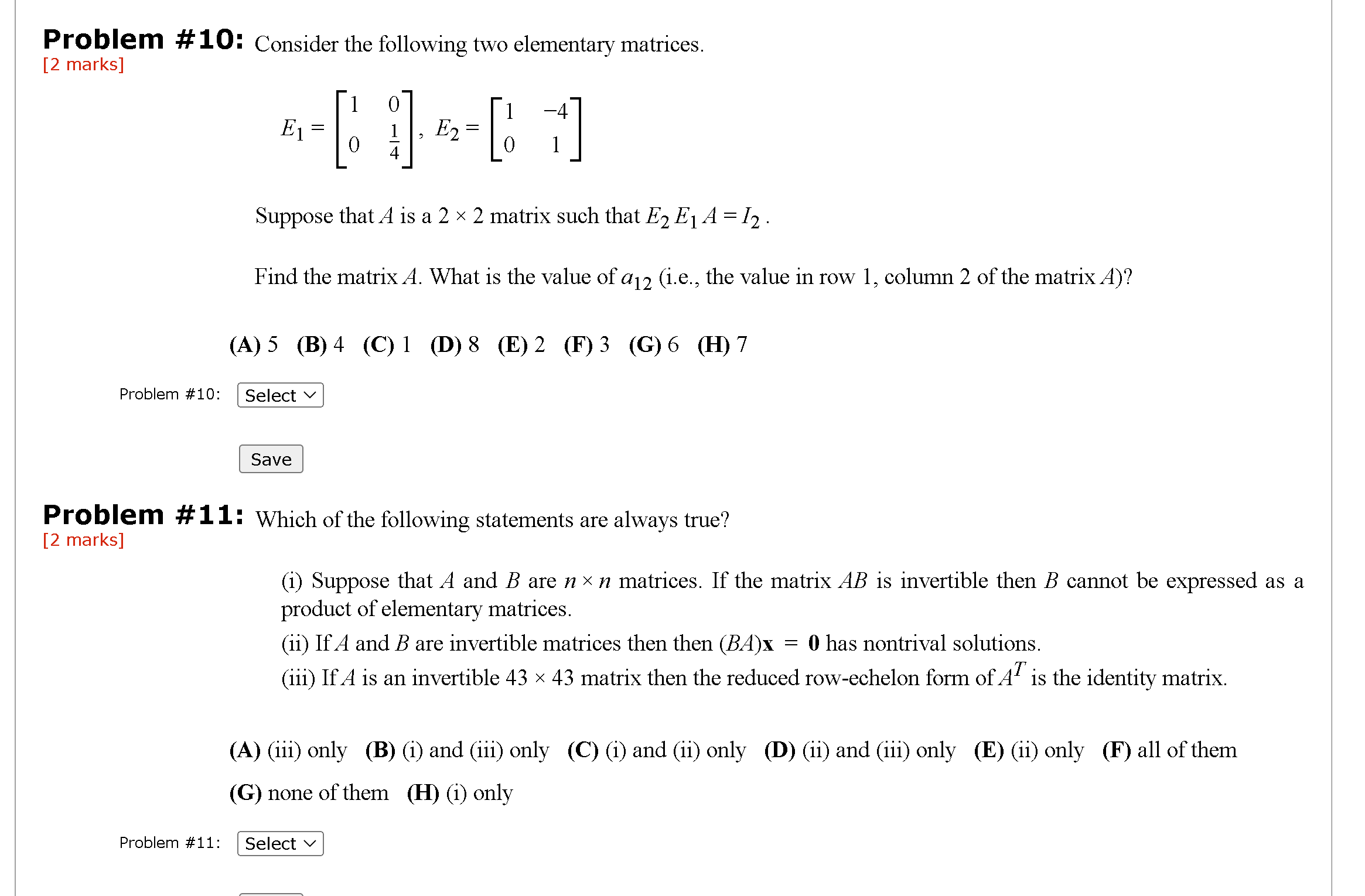
Question: PTOblem # 10: Consider the following two elementary matrices. [2 marks] 1 0 1 4 E1: l 9132: 0 4 0 1 Suppose thatA is
![PTOblem # 10: Consider the following two elementary matrices. [2 marks]](https://s3.amazonaws.com/si.experts.images/answers/2024/06/667dbc58a1296_248667dbc58919c1.jpg)

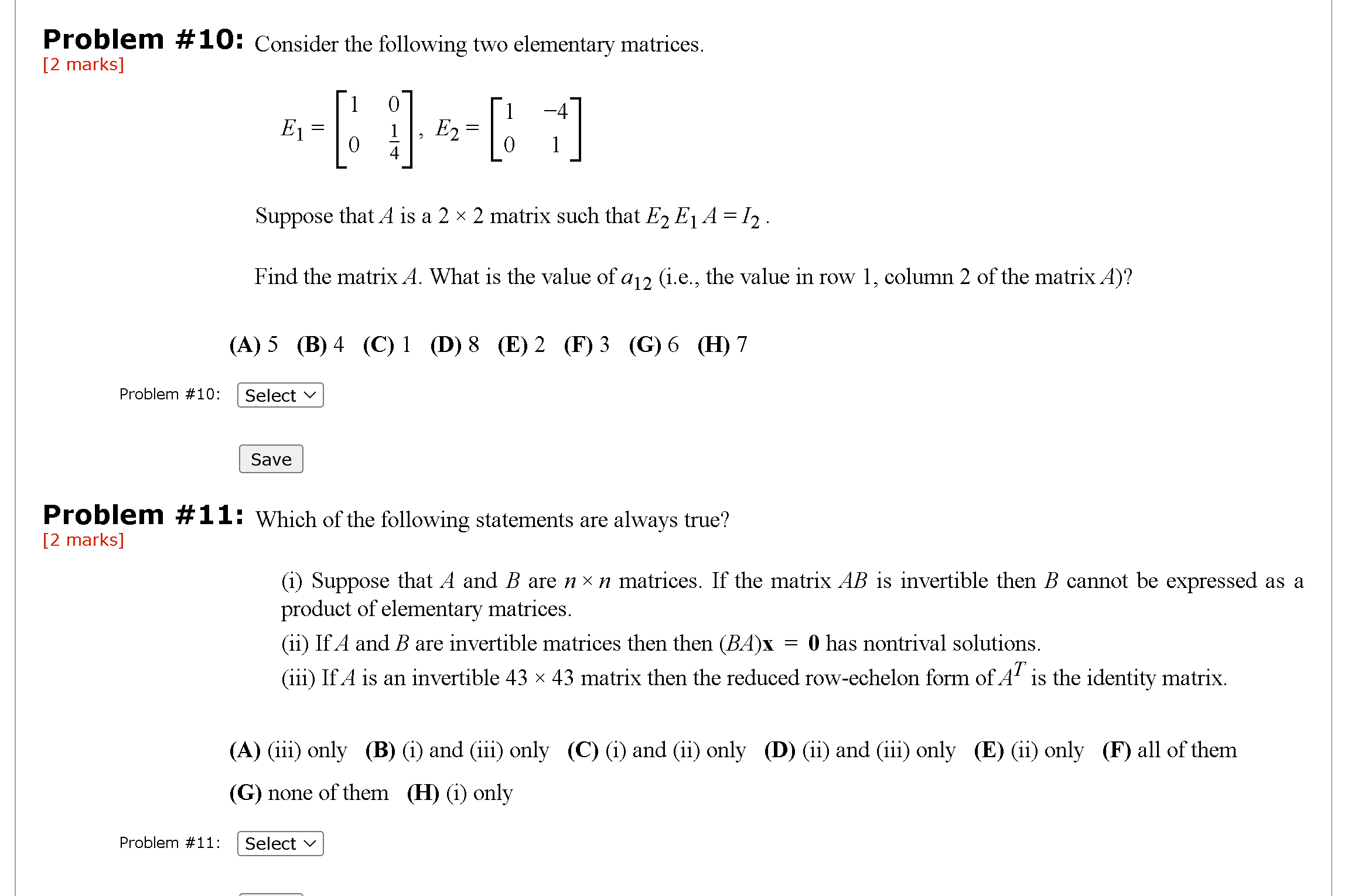
PTOblem # 10: Consider the following two elementary matrices. [2 marks] 1 0 1 4 E1: l 9132: 0 4 0 1 Suppose thatA is a 2 X 2 matrix such thath E1 A = 12 . Find the matrix A. What is the value of an (i.e., the value in row 1, column 2 of the matrix A)? (A)5(B)4(C)1(1))8(E)2(F)3(G)6 (H)7 Problem #10: Pr0blem # 1 1: Which of the following statements are always true? [2 marks] (i) Suppose that A and B are n X n matrices. If the matrix AB is invertible then B cannot be expressed as a product of elementary matrices. (ii) If A and B are invertible matrices then then (BA)x = 0 has nontrival solutions. (iii) If A is an invertible 43 X 43 matrix then the reduced row-echelon form of AT is the identity matrix. (A) (iii) only (B) (i) and (iii) only (C) (i) and (ii) only (D) (ii) and (iii) only (E) (ii) only (F) all of them (G) none of them (H) (i) only Problem #11
Step by Step Solution
There are 3 Steps involved in it
Get step-by-step solutions from verified subject matter experts
