Question: Python question, solve this question with python, currently using Spyder in lessons. Given two equation f(x) = 48 14x + x2 and g(x) = -102
Python question, solve this question with python, currently using Spyder in lessons.
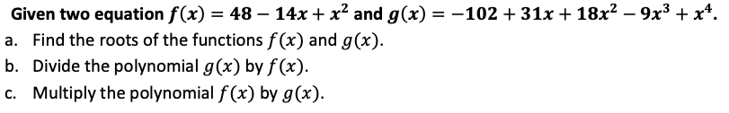
Given two equation f(x) = 48 14x + x2 and g(x) = -102 + 31x + 18x2 9x3 + x4. a. Find the roots of the functions f (x) and g(x). b. Divide the polynomial g(x) by f(x). c. Multiply the polynomial f(x) by g(x)
Step by Step Solution
There are 3 Steps involved in it
Get step-by-step solutions from verified subject matter experts
