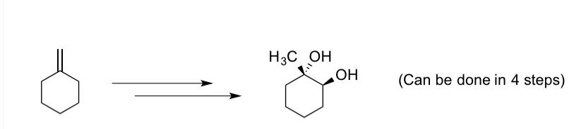
Question: Q 2 . Complete the synthesis problem shown ( Can be done in 4 steps )
Q Complete the synthesis problem shown Can be done in steps
Step by Step Solution
There are 3 Steps involved in it
1 Expert Approved Answer
Step: 1 Unlock
Question Has Been Solved by an Expert!
Get step-by-step solutions from verified subject matter experts
Step: 2 Unlock
Step: 3 Unlock
