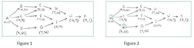
Question: Q 3. An 11-activity PERT network with activity mean and variance as shown below in Figure 1. Assume all activities are stochastically independent and Z0.95
Q 3. An 11-activity PERT network with activity mean and variance as shown below in Figure 1. Assume all activities are stochastically independent and Z0.95 = 1.645.

a. Which are the shortest, and longest PERT paths? What are their lengths?
b. Suppose at a review point, only nodes A & D are completed, all other nodes are yet to start (Figure 2). Which are the longest, and shortest PERT paths, and their lengths?
c. Instead of PERT, you want to start the project under the Critical Chain Project Management methodology. Using the information given in Figure 1, how will you structure the critical chains. Show the critical chain, the project buffer, and the feeding buffers in terms of their placements. What is the size of the project buffer?
B [10,25) H ( (5,-) 110,25) a (7,25) (7,2) F (12,9) (10) (10, 1) (3,1) (12,9) () () (109) (3,1) (5,0) (6,25) (4,25) D ( G (7,36) (8,64) (7,36) Figure 1 Figure 2Step by Step Solution
There are 3 Steps involved in it
Get step-by-step solutions from verified subject matter experts
