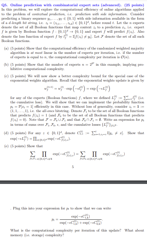
Question: Q 5 . Online prediction with combinatorial expert sets ( advanced ) . ( 2 5 points ) Q 5 . Online prediction with combinatorial
Q Online prediction with combinatorial expert sets advanced points
Q Online prediction with combinatorial expert sets advanced points
In this problem, we will explore the computational efficiency of online algorithms applied
to the problem of contextual prediction, ie prediction with side information. Consider
predicting a binary sequence dots, with side information available in the form
of a length bit string, iedots, before round Let the experts
denote the set of all Boolean functions that map context to a prediction ie expert
is given by Boolean function : and expert will predict Also
denote the loss function of expert by Let denote the set of all such
Boolean functions.
a points Show that the computational efficiency of the randomized weighted majority
algorithm is at most linear in the number of experts per iteration, ie if the number
of experts is equal to the computational complexity per iteration is
b points Show that the number of experts in this example, implying pro
hibitive computational complexity.
c points We will now show a better complexity bound for the special case of the
exponential weights algorithm. Recall that the exponential weights update is given by
exp
for any of the experts Boolean functions where we defined :ie
the cumulative loss We will show that we can implement the probability function
efficiently in this case. Without loss of generality, consider :
dots, ie the allones bitstring. Denote to be the set of all Boolean functions
that predicts and to be the set of all Boolean functions that predicts
Note that and that Write an expression for
in terms of sums over and the cumulative losses
d points For any zin denote : Show that
expexp
e points Show that
expexp
Plug this into your expression for to show that we can write
What is the computational complexity per iteration of this update? What about
memory ie storage complexity?
Step by Step Solution
There are 3 Steps involved in it
1 Expert Approved Answer
Step: 1 Unlock
Question Has Been Solved by an Expert!
Get step-by-step solutions from verified subject matter experts
Step: 2 Unlock
Step: 3 Unlock
