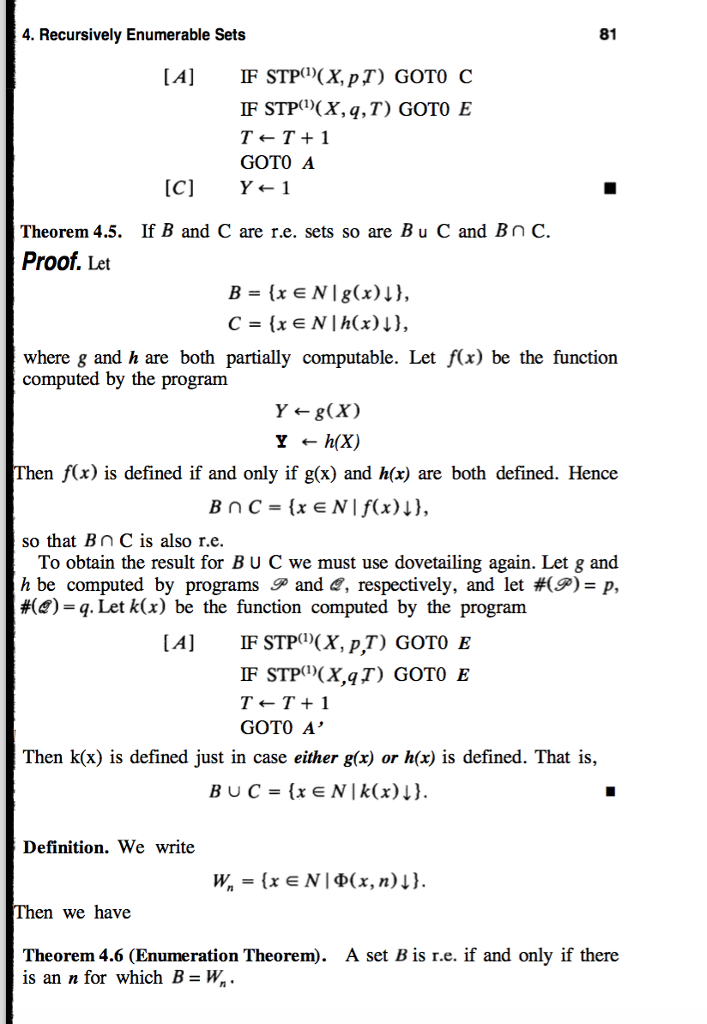
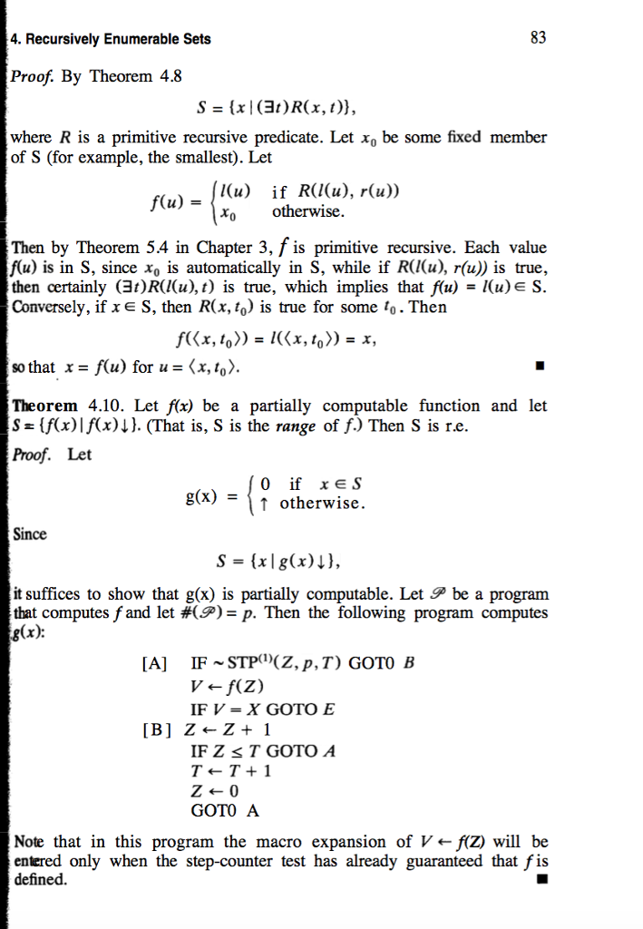
Question: q 8 p 85 book : Computability, Complexity, and Languages by Davis, Sigal, Weyuker (Second Edition) Book pages about the question: 8. Show that there
q 8 p 85 book : Computability, Complexity, and Languages by Davis, Sigal, Weyuker (Second Edition)
Book pages about the question:







8. Show that there is no computable function f(x) such that f(x) 4 (x,x) 1 whenever (x, x) 8. Show that there is no computable function f(x) such that f(x) 4 (x,x) 1 whenever (x, x)
Step by Step Solution
There are 3 Steps involved in it
Get step-by-step solutions from verified subject matter experts
