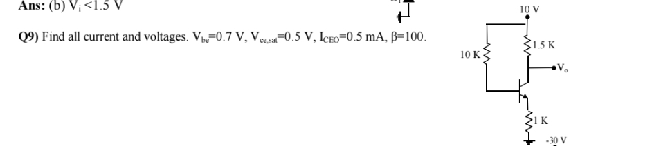
Question: Q 9 ) Find all current and voltages. V b e = 0 . 7 V , V c e s a t = 0
Q Find all current and voltages.
Step by Step Solution
There are 3 Steps involved in it
1 Expert Approved Answer
Step: 1 Unlock
Question Has Been Solved by an Expert!
Get step-by-step solutions from verified subject matter experts
Step: 2 Unlock
Step: 3 Unlock
