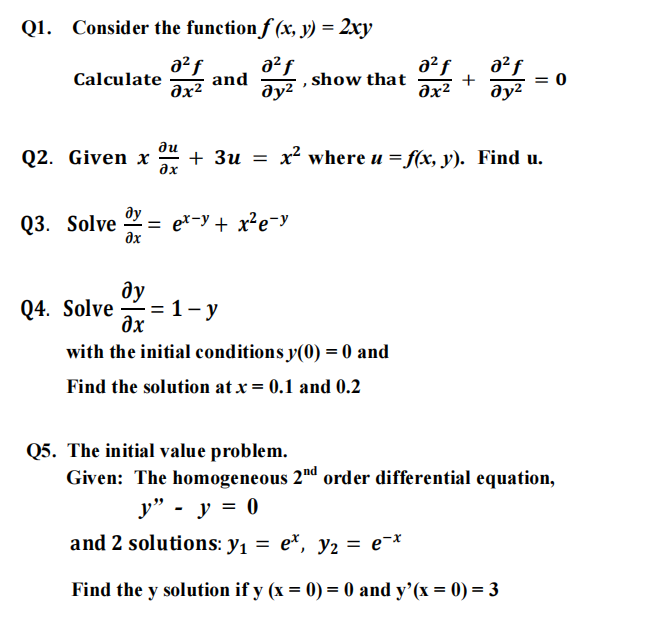
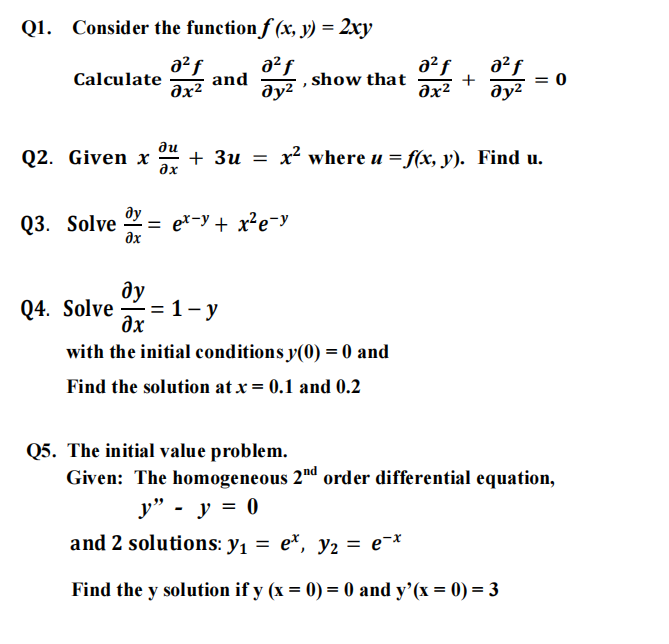
Question: Q1. Consider the function f (x, y) = 2xy as f Calculate arz and avz . show that ax2 av2 = 0 Q2. Given x


Q1. Consider the function f (x, y) = 2xy as f Calculate arz and avz . show that ax2 av2 = 0 Q2. Given x - + 3u = x where u = f(x, y). Find u. Q3. Solve ey = ex-y+ xey Q4. Solve ay -= 1-y ax with the initial conditions y(0) =0 and Find the solution at x = 0.1 and 0.2 Q5. The initial value problem. Given: The homogeneous 2"d order differential equation, y" - y =0 and 2 solutions: y1 = et, yz = e-x Find the y solution if y (x = 0) = 0 and y'(x = 0) = 3
Step by Step Solution
There are 3 Steps involved in it
Get step-by-step solutions from verified subject matter experts
