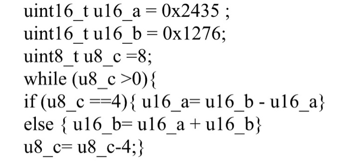
Question: Q1: Convert the follwing C code to assembly code by using MPLAB : uint16 tul6 a=0x2435: uint16_t u16 b-0x1276; uint8 tu8 c-8 while (u8_c>0)
Q1: Convert the follwing C code to assembly code by using MPLAB :
uint16 tul6 a=0x2435: uint16_t u16 b-0x1276; uint8 tu8 c-8 while (u8_c>0)\
Step by Step Solution
There are 3 Steps involved in it
Get step-by-step solutions from verified subject matter experts
