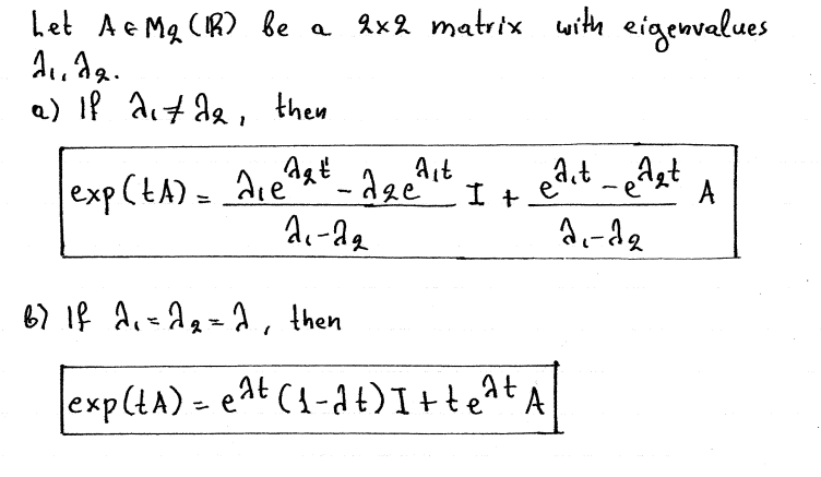
Question: Q1 Let AcMg (IR) be a 9x2 matrix with eigenvalues a) If 2. 7 29 , then Agt Art exp (tA ) = - age
Q1


Step by Step Solution
There are 3 Steps involved in it
1 Expert Approved Answer
Step: 1 Unlock
Question Has Been Solved by an Expert!
Get step-by-step solutions from verified subject matter experts
Step: 2 Unlock
Step: 3 Unlock
