Question: Find all 2 X 2 matrices A E MQUR) that satisfy the following crazy property: exp(tA] = I + tA, W E R (5) Give

![the following \"crazy\" property: exp(tA] = I + tA, W E R](https://s3.amazonaws.com/si.experts.images/answers/2024/06/667ba05bdf7d1_011667ba05bdb4e9.jpg)


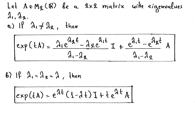
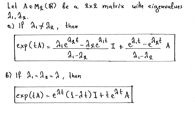
Find all 2 X 2 matrices A E MQUR) that satisfy the following \"crazy\" property: exp(tA] = I + tA, W E R (5) Give a detailed argument nding all such matrices that also establishes that you found all of them. (Hint: Can such a matrix have eigenvalues A1 3E A2? What about if A1 = A2 = A?) Let AcMg (IR) be a 9x2 matrix with eigenvalues a) If 2. 7 29 , then Agt Art exp (tA ) = - age It edit _ past A 6) If A . = 2 2 = 1 , then exp (tA ) = eat ( 1 - at)Itte at P
Step by Step Solution
There are 3 Steps involved in it
Get step-by-step solutions from verified subject matter experts
