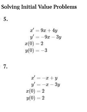
Question: Solving Initial Value Problems r' = 9x + 4y y = -9x 3y x(0) = 2 y(0) = -3 7. z' = -x +

Solving Initial Value Problems r' = 9x + 4y y = -9x 3y x(0) = 2 y(0) = -3 7. z' = -x + y y = -x 3y x(0) = 2 y(0) = 2 5.
Step by Step Solution
3.45 Rating (152 Votes )
There are 3 Steps involved in it
Get step-by-step solutions from verified subject matter experts
