Question: Quantitative Business Analysis Data Analysis Assignment #3 For the third data analysis assignment you will finally get to analyze some of your data. Please perform

Quantitative Business Analysis Data Analysis
Quantitative Business Analysis Data Analysis
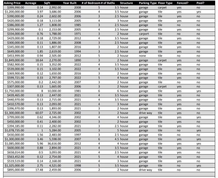
Quantitative Business Analysis Data Analysis Assignment #3 For the third data analysis assignment you will finally get to analyze some of your data. Please perform the following analyses on your dataset using Excel and then write a short memo in MS-Word summarizing your findings. 1. Pick two of your categorical variables with exactly two values and create a separate bar chart for each variable showing the relative frequency of the two values for that variable. What can you conclude from these results? 2. Pick two of your categorical variables with more than two values and create a separate pie chart of the results for each variable. What can you conclude from these results? 3. Pick two of your categorical variables and create a side by side bar chart using one variable as the grouping variable and the other as the frequency variable. Is there a relationship between the two variables? How would you describe the relationship? 4. Pick two of your categorical variables and create a Pivot Table using Excel. Is there a relationship suggested by the table results? If so, how would you describe it? Pool? no yes no no yes no no no no no no no no no no tile no no Asking Price Acreage SqFt Year Built # of Bedroom # of Baths Structure $399,990.00 0.14 2,992.00 2008 5 3.5 house $1,200,000.00 3.97 3,686.00 2006 4 3.5 house $390,000.00 0.24 2,602.00 2006 3 2.5 house $420,000.00 0.18 3,113.00 2005 4 3 house $386,000.00 1.27 1,808.00 1985 3 2.5 house $299,900.00 0.1 2,153.00 2005 4 2.5 house $334,000.00 0.76 1,788.00 1971 3 2 house $429,000.00 0.18 2,729.00 2012 4 3.5 house $300,000.00 0.11 1,886.00 2008 3 2.5 house $345,000.00 0.13 1,807.00 2016 3 2 house $649,000.00 1.85 2,619.00 1994 3 2.5 house $453,999.00 0.94 2,505.00 2012 5 2 house $1,849,000.00 18.64 2,270.00 1890 3 2 house $582,900.00 0.15 3,352.00 2022 4 3.5 house $539,000.00 0.15 3,102.00 2022 4 3.5 house $369,900.00 0.12 1,650.00 2016 3 2 house $599,721.00 0.33 2,797.00 2022 5 4 house $575,000.00 0.2 2,442.00 2007 3 2 house $307,000.00 0.13 1,665.00 2006 3 2 house $1,750,000.00 8 10,000.00 1981 6 6 house $439,465.00 0.13 2,447.00 2021 4 3.5 house $440,970.00 0.13 2,715.00 2021 4 3.5 house $410,570.00 0.13 2,093.00 2021 4 3 house $396,970.00 0.13 1,893.00 2021 3 2 house $1,300,000.00 60.07 2,725.00 2002 3 2 house $799,000.00 0.62 4,346.00 2002 4 4 house $450,000.00 0.41 2,400,00 2002 3 2 house $394,185.00 0.11 2,282.00 2021 3 2.5 house $1,078,735.00 1 5,284.00 2005 3 5 house $430,000.00 1.56 2,483.00 1997 3 2.5 house $1,300,000.00 3.46 5,598.00 2007 6 4.5 house $1,085,000.00 5.96 36,616.00 2012 4 4 house $600,000.00 0.88 2,894.00 2021 4 3.5 house $658,014.00 0.5 3,093.00 2021 4 2.5 house $563,452.00 0.12 2,754.00 2021 5 4 house $519,519.00 0.14 2.168.00 2021 4 3 house $1,325,000.00 2.75 4,521.00 1998 5 3.5 house $895,000.00 17.48 2,459.00 2006 2 2 house Parking Type Floor Type Fenced? garage carpet yes garage tile yes garage tile yes garage tile yes garage tile no garage tile carport tile no garage tile yes garage tile yes garage tile yes garage tile yes none tile no garage carpet yes garage tile yes garage tile yes garage tile yes garage yes Rarage tile no garage carpet yes garage tile yes garage tile yes Rarage tile yes garage tile yes garage tile yes tile yes garage tile yes garage tile yes garage tile yes garage tile no garage tile no garage tile garage tile yes garage tile yes garage tile yes garage tile yes garage tile yes garage tile no tile no drive way no no yes no no no no no yes no no yes no yes yes no no no no yes ..... drive way yes no

Step by Step Solution

There are 3 Steps involved in it

1 Expert Approved Answer
Step: 1 Unlock blur-text-image
Question Has Been Solved by an Expert!

Get step-by-step solutions from verified subject matter experts

Step: 2 Unlock
Step: 3 Unlock

Students Have Also Explored These Related General Management Questions!