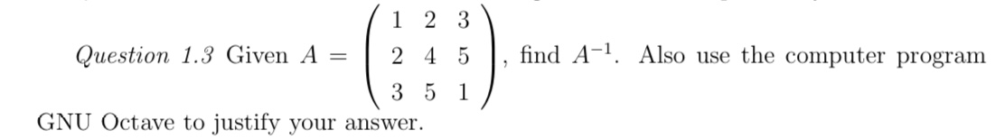
Question: Question 1 . 3 Given A = ( [ 1 , 2 , 3 ] , [ 2 , 4 , 5 ] , [
Question Given find Also use the computer program
GNU Octave to justify your answer.
Step by Step Solution
There are 3 Steps involved in it
1 Expert Approved Answer
Step: 1 Unlock
Question Has Been Solved by an Expert!
Get step-by-step solutions from verified subject matter experts
Step: 2 Unlock
Step: 3 Unlock
