Question: QUESTION 1 Choose the correct Lagrange function to maximize the utility function f(x,y) =xy if $60 is available and the cost of a unit








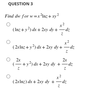
QUESTION 1 Choose the correct Lagrange function to maximize the utility function f(x,y) =xy if $60 is available and the cost of a unit of x is $1 and the cost of a unit of y is $2. Recall F(x,y,) = f(x,y) = g(x,y) OF(x,y,)=xy-(2x+y=60) OF(x,y,)=x-(x-2y+60) OF(x,y,)=xy-1(x+2y=60) OF(x,y,)=xy-(2x-y-60) QUESTION 2 Using the Lagrange function above, find F(x,y,). x-21 y- O-x-y+60 O 2xy-21 QUESTION 4 Using the Lagrange function above, find F, (x,y, ). Ox+y+60 O -x-2y+60 -x-y-60 -2x-y+60 QUESTION 5 Set F,F, F, equal to 0 and solve for x and y. x Ox=30, y=15 Ox=50, y=5 O x 20, y=20 O x 10, y 25 QUESTION 6 The maximum value of the utility function f(x,y) = xy is 6750 8000 1250 6250 QUESTION 1 Find dz for z=2xy - 4xy2 O(6x2y-8xy) dx + (2x 3-4y) dy (6x2y4y) dx + (2x- 8xy) dy O (6x24) dx + (2-8y) dy 6xy dx - 8xy dy QUESTION 2 For the given function evaluate dz if x=0, y=2, dx=0.2, dy=0.3. z=ye 3.1 1.6 3.6 2.8 QUESTION 3 Find dw for w=xlnz+xy x (Inz + y) dx+2xy dy+dz Z x (2x1nz + y) dx+2xy dy + dz Z 2x Z 2x + y) dx+2xy dy+dz Z (2xlnz) dx + 2xy dy + dz - Z QUESTION 4 Evaluate the differential dz for z= 3x-2y x+y for x=2, y=3, dx=0.2, dy=0.4 0.28 0.12 -0.16 -0.04 QUESTION 5 The manufacturing cost of an appliance is given by M(x,y) = 10x+ 16y- 8xy + 150 where x is the cost of parts and y is the cost of labor. The company currently spends $10 on parts and $20 on labor. Use differentials to approximate the change in cost if the company begins spending $10.75 on parts and $20.50 on labor. 600 440 545 O 310 QUESTION 3 Using the Lagrange function above, find F (x,y,). y-1 2xy - 21 Ox-21 O-x-y+60 y QUESTION 6 Use total differentials to approximate the value of 3.05 1.99 22.3149 22.3124 22.7583 O 22.1672
Step by Step Solution
There are 3 Steps involved in it
Get step-by-step solutions from verified subject matter experts
