Question: Question 1: fEvaluate F . dr where C F(x, y, z) = (2.25yz cos(xyz), 2.25xz cos(xyz), 2.25xy cos(xyz)) and C is the line 1 1



Question 1:



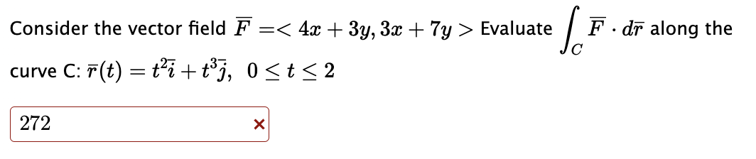
\fEvaluate F . dr where C F(x, y, z) = (2.25yz cos(xyz), 2.25xz cos(xyz), 2.25xy cos(xyz)) and C is the line 1 1 segment joining the point 9, 2 ' to the point 2, 9 2' 6Consider the vector field F = Evaluate F . dr along the C curve C: T (t) = thi + taj, 0
Step by Step Solution
There are 3 Steps involved in it
1 Expert Approved Answer
Step: 1 Unlock
Question Has Been Solved by an Expert!
Get step-by-step solutions from verified subject matter experts
Step: 2 Unlock
Step: 3 Unlock
