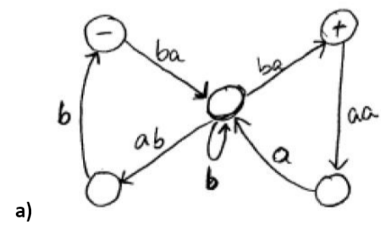
Question: Question 1: Using the bypass algorithm as taught in class, convert each of the following TGs into regular expression: Please offer step by step commentary
Question 1:
Using the bypass algorithm as taught in class, convert each of the following TGs into regular expression:


Please offer step by step commentary in order to help me learn and understand
ba b laa ab b a) a a ab ba abb bb n + b)
Step by Step Solution
There are 3 Steps involved in it
Get step-by-step solutions from verified subject matter experts
