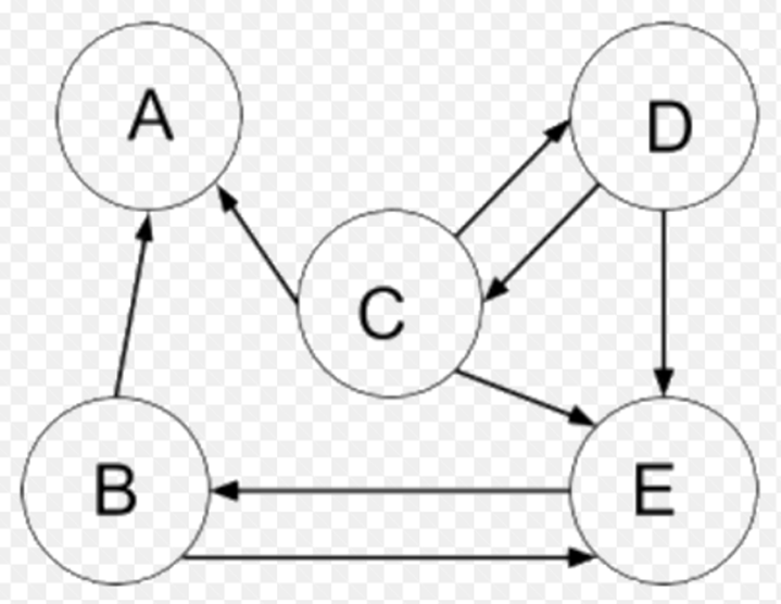
Question: Question 1 Which model PageRank algorithm uses. Apply the PageRank algorithm to find the ranking of the following pages. Initial PageRank for all pages is
Question 1
Which model PageRank algorithm uses. Apply the PageRank algorithm to find the ranking of the following pages. Initial PageRank for all pages is 1.
You may solve on paper and then send here a picture of the solution... Multi-Line Text. 
Question 2
Calculate, which node has the highest degree, closeness, and betweenness centrality... Single line text. 
A D B E 8 2 7 4 3 6 5 1 A D B E 8 2 7 4 3 6 5 1
Step by Step Solution
There are 3 Steps involved in it
Get step-by-step solutions from verified subject matter experts
