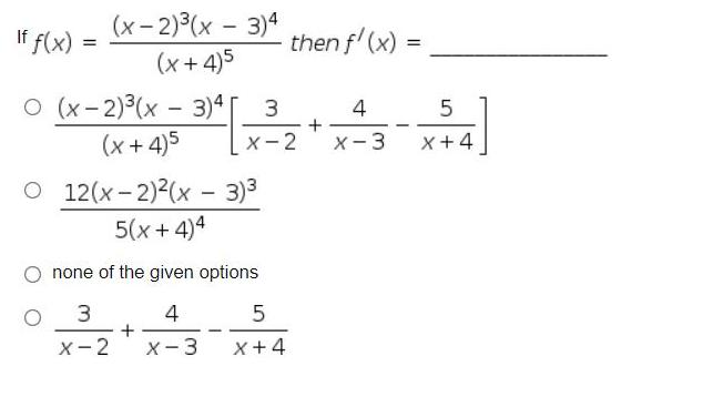
Question: (x-2)3(x - 3)4 (x+4)5 If f(x) = then f'(x) %D O (x- 2)(x - 3)[ 3 (x+ 4)5 4 + X- 3 X- 2
(x-2)3(x - 3)4 (x+4)5 If f(x) = then f'(x) %D O (x- 2)(x - 3)[ 3 (x+ 4)5 4 + X- 3 X- 2 X+4 O 12(x-2)2(x - 3)3 5(x + 4)4 none of the given options 4 X-2 X- 3 X+4 +
Step by Step Solution
3.51 Rating (158 Votes )
There are 3 Steps involved in it
1st option is correct Cottect opto... View full answer
Get step-by-step solutions from verified subject matter experts
