Question: QUESTION 19: HERE ARE THE MATRICES FOR THE 19TH QUESTION fExercises 1-20 refer to the following matrices: 2 -3 A = - 2 . B
QUESTION 19:
HERE ARE THE MATRICES FOR THE 19TH QUESTION







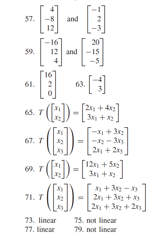
\fExercises 1-20 refer to the following matrices: 2 -3 A = - 2 . B = 2 -1 and 4 0 -2 O 4 - 2 2 C = 0 -2 4In Exercises 25-34, linear transformations are given. Compute their standard matrices. 29, 26. 27. 28. 29. T: R?> R? defined by T (['\"D [ X2 } X9 Xi +x . 2x1 + 3x2 2 o 4.1'1 +5I2 X1 T:R3 R defined by T ( .x{| = [x' Z"'f \"3} [ 2 57. Suppose that 7 is linear and T' ([g:D = |:4:| Determine T ([12]) and T (|: ll:l) Justify your mine 7' | | =3 and T 12 answers. ) Deter -2 8 /T3IN T 127 58. Suppose that T is linear and 7' | ) 67. T ([XI:D for any [xli| in R2. Justify your answer. X2 X2 Suppose that T: R* R is a linear transformation such that = 3 0 Te)=]| 0|, T(ex)=|1|, and T'(e3) = | 3 2 0 2 X X Determine 7' | | x2 for any | x; | in R>. Justify your X3 X3 dnNsSwer. In Exercises 72-80, a function T: R" -> RM is given. Either prove that T is linear, or explain why T is not linear. 2x1 72. T: R2 _> R2 defined by T 0 73. T: R2 _> R2 defined by T 2x1 X1 74. T: R2 _> R2 defined by T X2 - [ 24] X1 = x1 +x2+x3-1 75. T: R3 - R defined by T X2 X3\f\f
Step by Step Solution
There are 3 Steps involved in it
Get step-by-step solutions from verified subject matter experts
