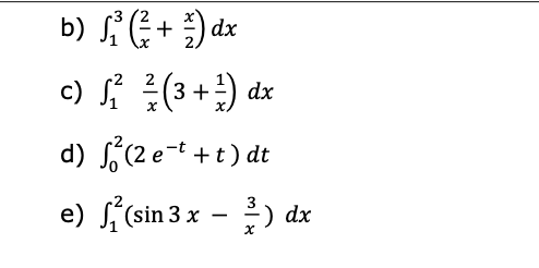
Question: a ) 2 1 (2 cos 2 t - 3 sin 2t ) dtb) S' ( + )dx C) 2 (3+!) dx X 2 d


a ) 2 1 (2 cos 2 t - 3 sin 2t ) dtb) S' ( + )dx C) 2 (3+!) dx X 2 d (2 et + t ) dt -2 e) (sin 3 x - dx X
Step by Step Solution
There are 3 Steps involved in it
Get step-by-step solutions from verified subject matter experts
