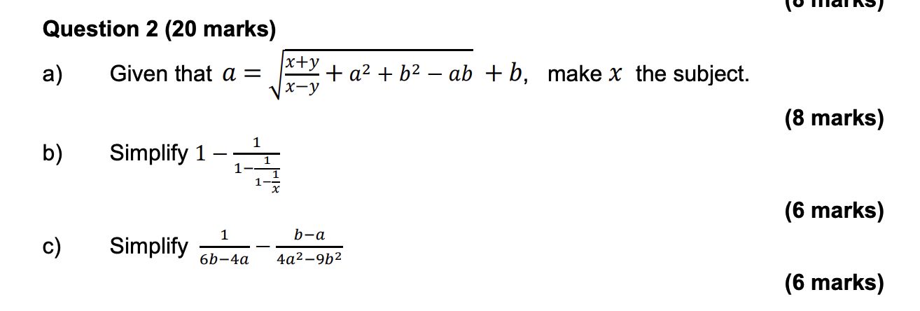
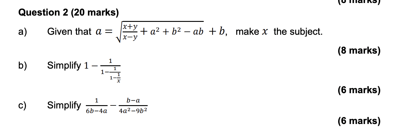
Question: Question 2 (20 marks) a) Given that a = {g + a2 + b2 ab + I), make x the subject. b) 0) Simplify 1


Question 2 (20 marks) a) Given that a = {g + a2 + b2 ab + I), make x the subject. b) 0) Simplify 1 1 Simplify 1 1'I 1 1 6b4a x b-a 4a29b2 \\u Illl n3; (8 marks) (6 marks) (6 marks)
Step by Step Solution
There are 3 Steps involved in it
Get step-by-step solutions from verified subject matter experts
