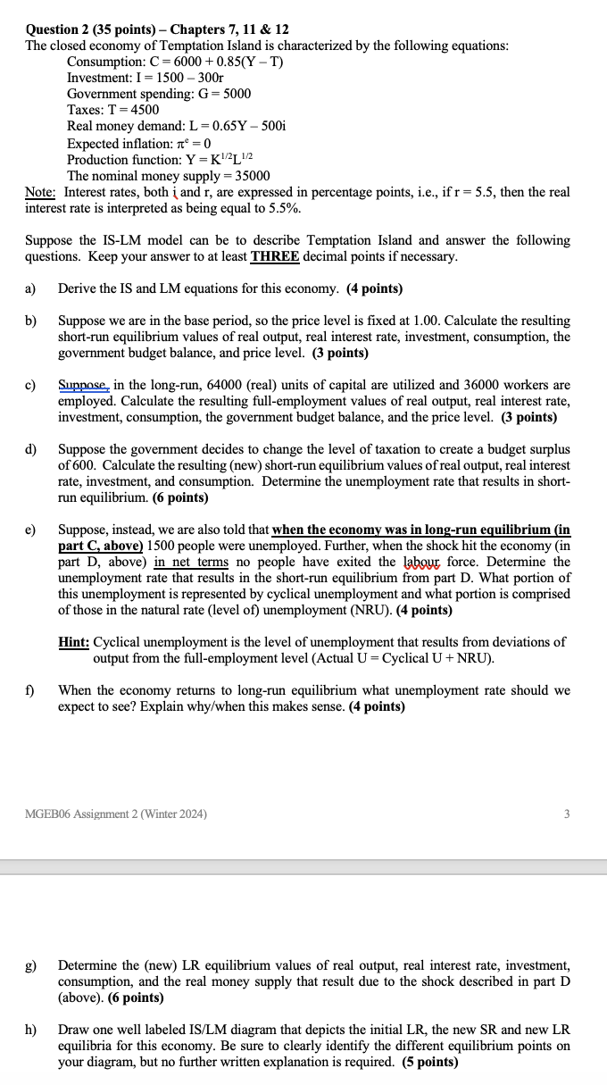
Question: Question 2 (35 points) Chapters 7, 11 & 12 The closed economy of Temptation Island is characterized by the following equations: Consumption: C = 6000


Question 2 (35 points) Chapters 7, 11 & 12 The closed economy of Temptation Island is characterized by the following equations: Consumption: C = 6000 + 0.85(Y - T) Investment: I = 1500 - 300r Government spending: G = 5000 Taxes: T = 4500 Real money demand: L = 0.65Y 5001 Expected inflation: n* = 0 Production function: Y = K"2L'2 The nominal money supply = 35000 Note: Interest rates, both i and r, are expressed in percentage points, ie., if r = 5.5, then the real interest rate is interpreted as being equal to 5.5%. Suppose the IS-LM meodel can be to describe Temptation Island and answer the following questions. Keep your answer to at least THREE decimal points if necessary. a) b)
Step by Step Solution
There are 3 Steps involved in it
Get step-by-step solutions from verified subject matter experts
