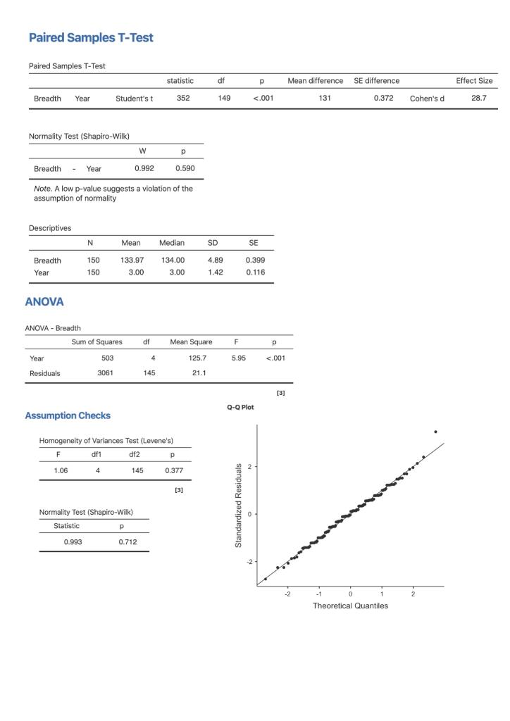
Question: Question 2. Archaeologists have been interested in determining whether the breadth of Egyptian skulls has changed gradually over time, because this might indicate that interbreeding


Step by Step Solution
There are 3 Steps involved in it
1 Expert Approved Answer
Step: 1 Unlock
Question Has Been Solved by an Expert!
Get step-by-step solutions from verified subject matter experts
Step: 2 Unlock
Step: 3 Unlock
