Question: Question 20 A linear regression model is expressed as y ? ? 0 + ? 1 x where ? 0 is the intercept and ?
Question 20
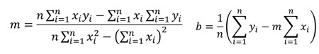
A linear regression model is expressed as y ? ?0+ ?1x where ?0 is the intercept and ?1 is the slope of the line). The following equations can be used to compute the value of the coefficients ?0 and ?1.

Using the following set of data, find the coefficients ?0 and ?1rounded to the nearest thousandths place and the predicted value of y when x is 10.
{(-1 , 0),(0 , 2),(1 , 4),(2 , 5)}
What is the value of ?1.
Answer:
Question 21
Not yet answered
Marked out of 1.00
Flag question
Question text
True/False: According to our textbook, residual plots are a useful tool for identifying clusters.
Select one:
True
False
Question 22
When data observations are placed into specific groups according to their observed characteristics this is known as: ______________
Select one:
a. Classification
b. Decision Tree Analysis
c. Clustering
d. Regression
Question 9
The sales of a company (in million dollars) for each year are shown in the table below, identify the linear regression model in the form y=mx+b.
| x (year) | 2005 | 2006 | 2007 | 2008 | 2009 |
| y (sales) | 12 | 19 | 29 | 37 | 45 |

NOTE: You should consider the value x as the elapsed time. For 2005 this would be 0 years, for 2006 it would be 1 year and for 2012 it would be 7 years.
What is the predicted value of y (in millions of dollars) when the year is 2012?
Answer:
Question 10
The following diagram represents which technique?

Select one:
a. Linear Regression
b. Curvilinear Regression
c. Spline Regression
d. Polynomial curve fitting
Question 11
A linear regression model is expressed as y ? ?0+ ?1x where ?0 is the intercept and ?1 is the slope of the line). The following equations can be used to compute the value of the coefficients ?0 and ?1.

Using the following set of data, find the coefficients ?0 and ?1rounded to the nearest thousandths place and the predicted value of y when x is 10.
{(-1 , 0),(0 , 2),(1 , 4),(2 , 5)}
What is the value of y.
Answer:
72 B1 Tl
Step by Step Solution
There are 3 Steps involved in it
Get step-by-step solutions from verified subject matter experts
