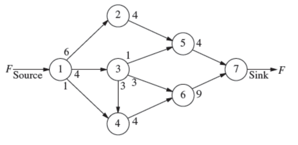
Question: Question 4 Consider the network shown below. We are trying to maximize the flow from the source to the sink. (a) Formulate a LP problem,


Step by Step Solution
There are 3 Steps involved in it
1 Expert Approved Answer
Step: 1 Unlock
Question Has Been Solved by an Expert!
Get step-by-step solutions from verified subject matter experts
Step: 2 Unlock
Step: 3 Unlock
