Question: QUESTION 6 The cost function for a company, in dollars, that produces airbags for trucks and SUV's is given by C(13) = _'2+_r3 50.'_' +



























![111')' 153- + 15.12 RUB. 8] = 3421 QUESTION 17 A firm](https://s3.amazonaws.com/si.experts.images/answers/2024/06/667970bcea184_748667970bcced9d.jpg)








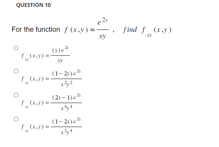
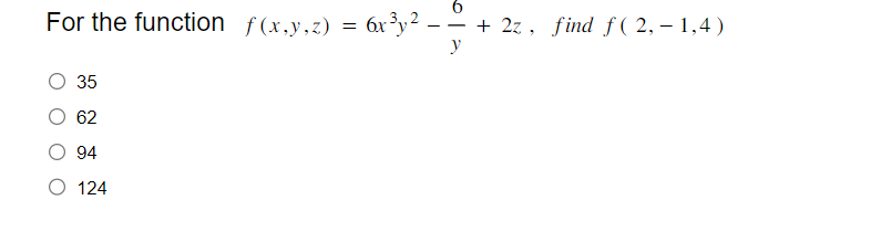
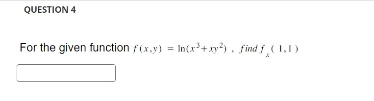
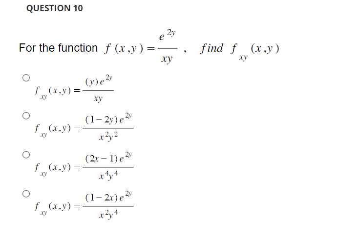
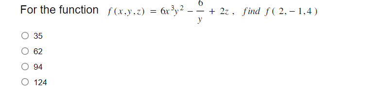
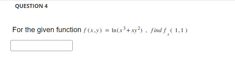
QUESTION 6 The cost function for a company, in dollars, that produces airbags for trucks and SUV's is given by C(13) = _\\'2+_r3 50.\\'_\\' + 1000 where x represents the number of trucks airbags and 5; represent the number of SUV airbags produced. Evaluate C (100,70) \fQUESTION 8 Find the second order partial derivative f of the function f ( x, y ) = (3x2 - 2y ) 'tex. yy 80( 3x 2 - 2y ) 3 +x2et 60 ( 3 x 2 - 5y ) 3 (3 - 10y) tyhey 180 ( 3x 2 + 2y ) 3 + ye " 15 (3x2 - 5y ) 4+ yetQUESTION 11 Given the function f (x,y) = 3x2y + 6x2+ 2y3 find the second order partial derivative f (x,y) O 12x + 6ry O 3x 2 + 3 O 62 O 6x\fQUESTION 13 For the following multivariable function f (x, y) = (3x -2) 1/2(5y + 4) which of the following partial derivative is equal to zero? Of Of yy Of XV\fQUESTION 15 Determine the value of the second-order partial derivative j" ( 1,0) of the following function U f (X ,l'y' ) = (X _.)"' J (3"- _."' QUESTION 16 Ascooter company has determined that its demand equation for the two types of scooters are given by p = 352t+ 4}' where p is the price of explorer scooter in hundreds of dollars, and c} = 20 2x + _\\' where q is the price of discovery scooter in hundreds of dollars and x is the the number of explorer scooters sold per week and y is the number of discovery scooters sold per week. Find the weekly revenue function R(X,y) and then evaluate RUG, 18). '3' R (m' = _\\'2 32+ lry + 20): + 35.3; 3110. 8) 21194 {13- le =_1-24_1-23_n- 15y+ 15.1; 11110. 8) = 2015 O R(_\\',_\\') = 1:2- 4_\\'2+ 3.1' 15_\\' Rl'lO, 8) = 540 {33' mm 38+ 111')' 153- + 15.12 RUB. 8] = 3421 QUESTION 17 A firm produces two types of toy trains each week where x represents type A and y represents type B. The weekly revenue is given by the function R(x,y) = 30x + 50y + 0.04xy - 0.02x2 - 0.03y 2 Find R (400, 700) O 38 O 24 O 8 O 52QUESTION 18 Macdonald's in UAE has major sales from two types of burgers that it offers. The revenue generated from their sales is given below R(x,y) = 5x+ 4y - 0.01x2+ 30 where x represents the daily sales of the type1 burger and y represent the daily sales of type2 burger. If the daily cost of preparing them is equal to C(x,y) =2x+ 2y +5 Find the profit function P(x,y) and the profit obtained from the sales of 15 burgers of type1 and 25 burgers of type2. O P(x,y ) = 3x + 4y - 0.01x2+ 30 P ( 15,25) = 175.25 O P(x,y) = 3x+ 2y -0.01x2+ 25 P( 15,25) = 117.75 O P(x,y) = &x + 6y - 0.01x2+ 35 P( 15,25) = 117.75 O P(x,y) =3x + 4y - 0.01x2- 25 P( 15,25) = 215.50QUESTION 19 Find the second order partial derivative f (x, y) , f (x, y) and f (x, >) at the point (2, 1) for the following function: f ( x, y) =x3+ 4x2y+ 23 Of (2, 1) = 16 f (x, y) = 20 f (x, y) = 12 Of (2, 1) = 12 f (x, y ) = 16 f (x, y) = 20 Of (2, 1) =20 f (x, y ) = 12 f (x, y) = 16 Of (2, 1) =20 f (x, y ) = 16 f (x, y ) = 12QUESTION 1 Find the first order partial derivative f of the function f (x, y) =x2 + 2xy + >2 X O 2x + 2y O 4y O 2x O 2x + 4y\fQUESTION 3 Find the first order partial derivative f'1_(_r,jr) for the function
Step by Step Solution
There are 3 Steps involved in it
Get step-by-step solutions from verified subject matter experts
