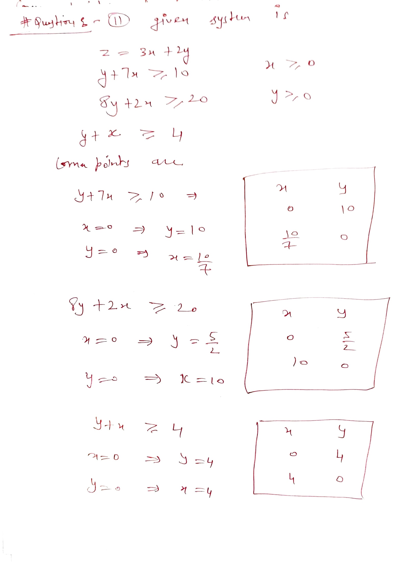
Question: @ Question 8 v 0/4 pts 9 3 99 0 Details Find the maximum of the objective function = 4x + 10y subject to














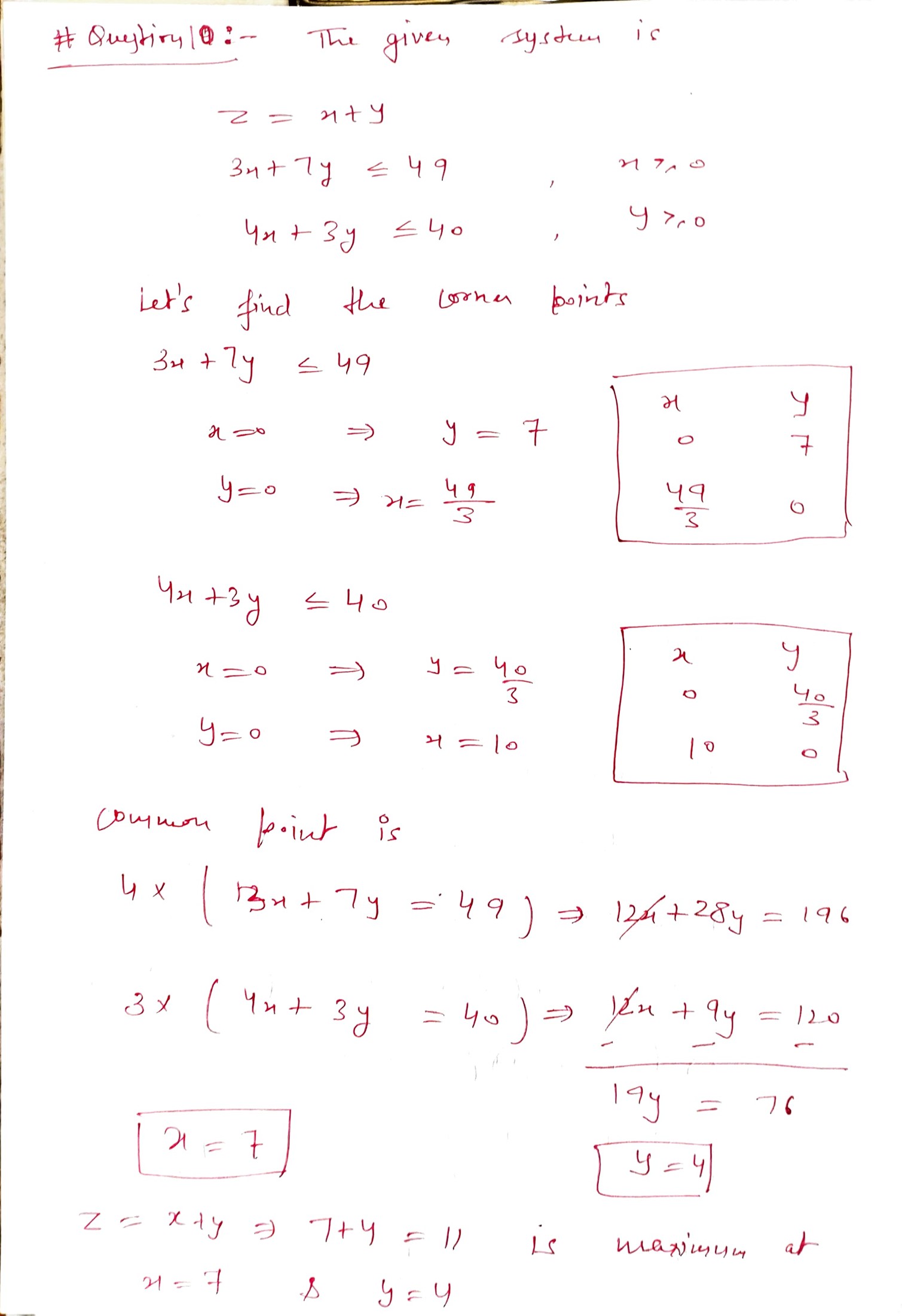
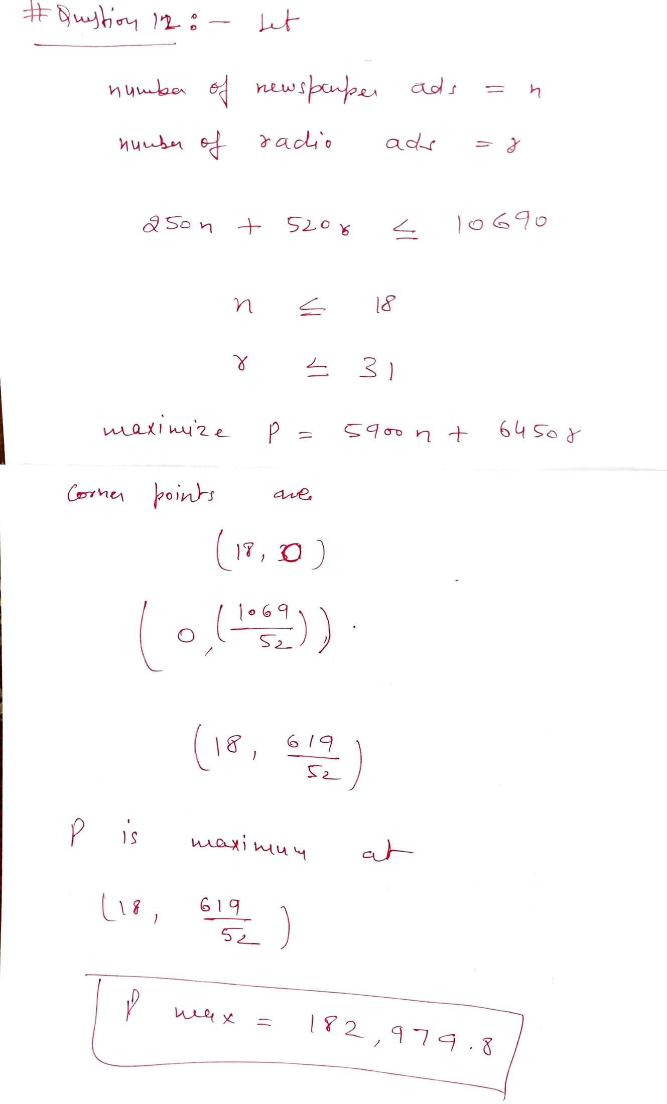
@ Question 8 v 0/4 pts 9 3 99 0 Details Find the maximum of the objective function " = 4x + 10y subject to the feasibility egion below. 12 11 10 9 8 7 6 5 4 3 2 1 O A\f. Question 10 0/4 pts 9 3 99 0 Details Maximize z = x+ y 3x + 7y 49 4x + 3y 40 Subject to IV IV I OO Maximum is at D = y = Submit Question O A\f Question 12 v & 0/7 pts O3 299 @ Details A company has $10,690 available per month for advertising. Newspaper ads cost $250 each and can't run more than 18 times per month. Radio ads cost $520 each and can't run more than 31 times per month at this price. Each newspaper ad reaches 5900 potential customers, and each radio ad reaches 6450 potential customers. The company wants to maximize the number of ad exposures to potential customers. Use n for number of Newspaper advertisements and r for number of Radio advertisements . Maximize P = subject to -] of ad exposures to potential customers. Use n for number of Newspaper advertisements and r for number of Radio advertisements . Maximize P = subject to Enter the solution below. If needed, round ads to 1 decimal palace and group exposure to the nearest whole person. Number of Newspaper ads to run is Number of Radio ads to run is :] Maximum target group exposure is people Submit Question 1} O
Step by Step Solution
There are 3 Steps involved in it
Get step-by-step solutions from verified subject matter experts
