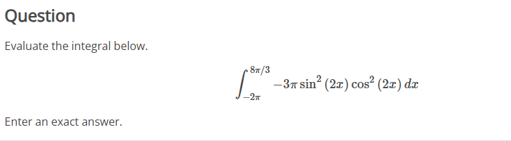
Question: Question Evaluate the integral below. - 2 8 3 - 3 s i n 2 ( 2 x ) c o s 2 ( 2
Question
Evaluate the integral below.
Enter exact answer.
Step by Step Solution
There are 3 Steps involved in it
1 Expert Approved Answer
Step: 1 Unlock
Question Has Been Solved by an Expert!
Get step-by-step solutions from verified subject matter experts
Step: 2 Unlock
Step: 3 Unlock
