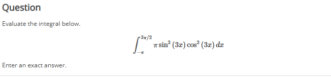
Question: Question Evaluate the integral below. - 3 2 s i n 2 ( 3 x ) c o s 2 ( 3 x ) d
Question
Evaluate the integral below.
Enter exact answer.
Step by Step Solution
There are 3 Steps involved in it
1 Expert Approved Answer
Step: 1 Unlock
Question Has Been Solved by an Expert!
Get step-by-step solutions from verified subject matter experts
Step: 2 Unlock
Step: 3 Unlock
