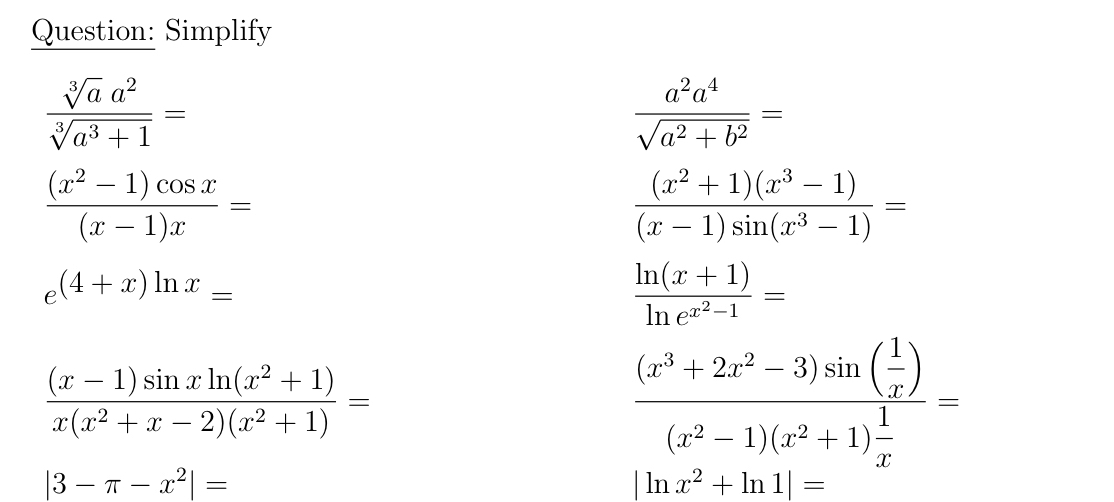
Question: Question: Simplify a 3 a 2 a 3 + 1 3 = , a 2 a 4 a 2 + b 2 2 = (
Question: Simplify
Step by Step Solution
There are 3 Steps involved in it
1 Expert Approved Answer
Step: 1 Unlock
Question Has Been Solved by an Expert!
Get step-by-step solutions from verified subject matter experts
Step: 2 Unlock
Step: 3 Unlock
