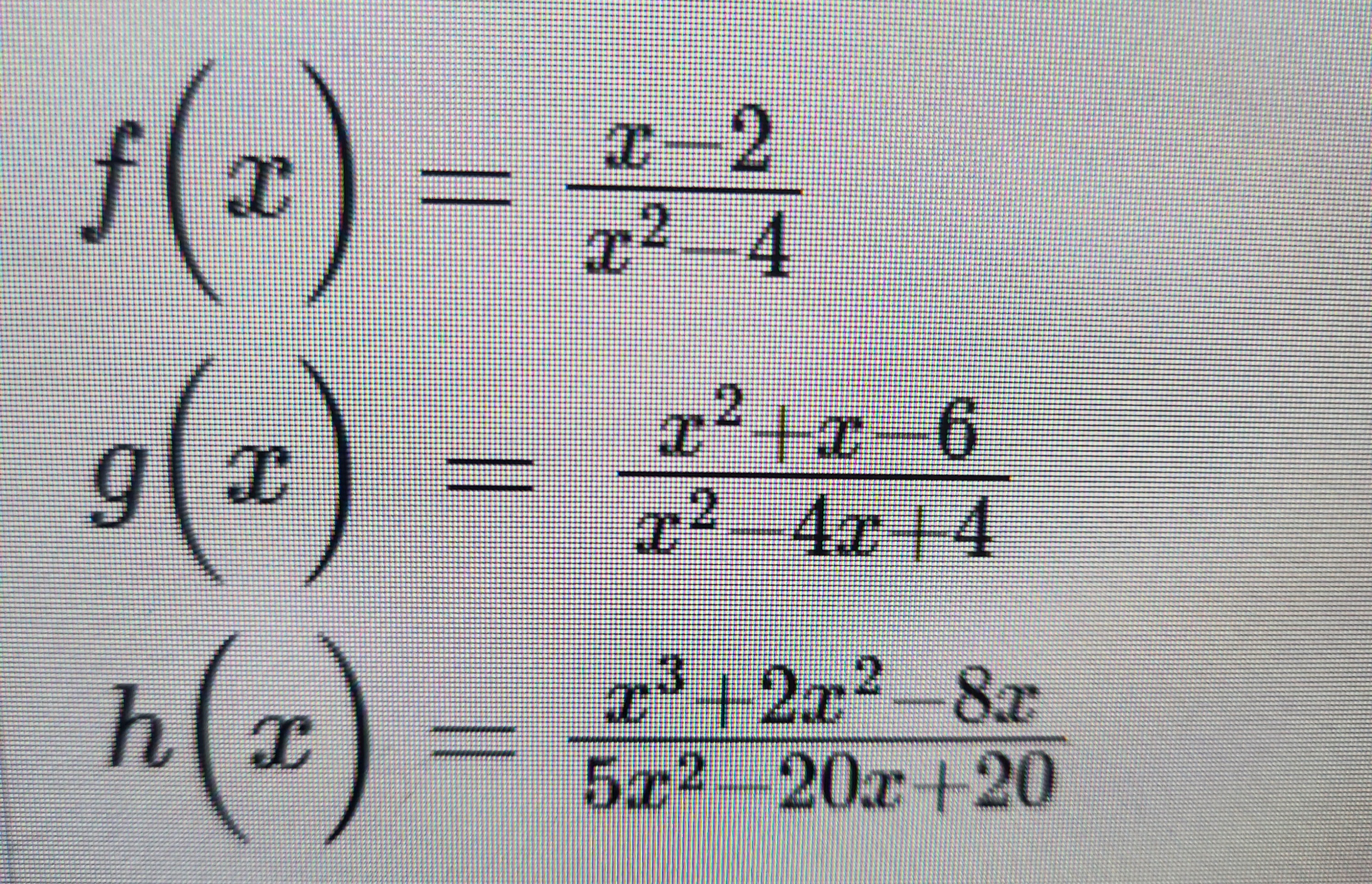
Question: Rational functions often have x values that make them undefined. However, some of these create holes in the graph and others create asymptotes. Refer to
Rational functions often have x values that make them undefined. However, some of these create "holes" in the graph and others create asymptotes. Refer to the given functions


Step by Step Solution
There are 3 Steps involved in it
Get step-by-step solutions from verified subject matter experts
