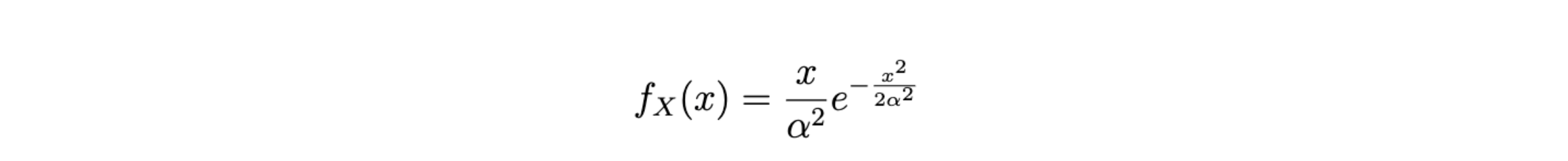
Question: Rayleigh Distribution 8 POINTS Start with U ~ U[0, 1] and let u = F(x) and determine F-(u) if we want X ~ Rayleigh (a).
![Rayleigh Distribution 8 POINTS Start with U ~ U[0, 1] and](https://s3.amazonaws.com/si.experts.images/answers/2024/06/66806ea839a34_96866806ea81dc4a.jpg)

Rayleigh Distribution 8 POINTS Start with U ~ U[0, 1] and let u = F(x) and determine F-(u) if we want X ~ Rayleigh (a). Let a = 14:
Step by Step Solution
There are 3 Steps involved in it
Get step-by-step solutions from verified subject matter experts
