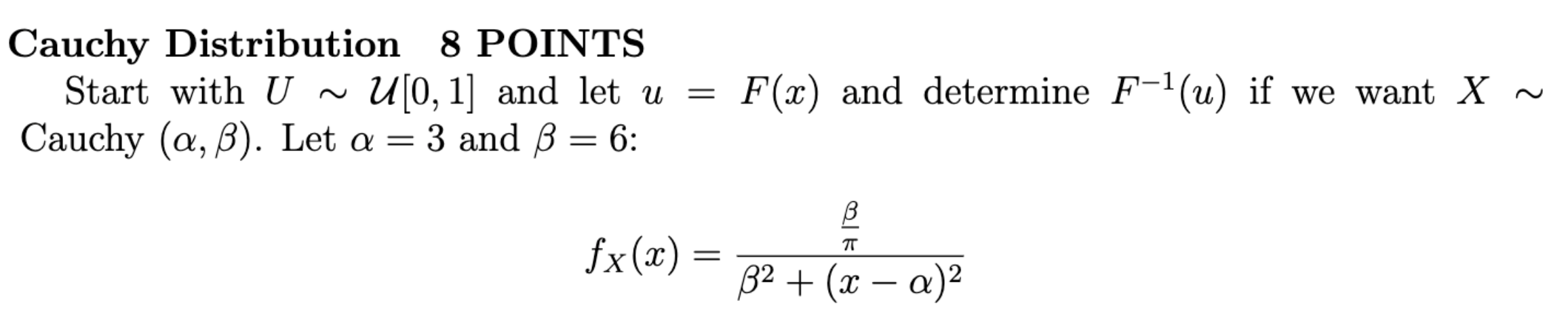
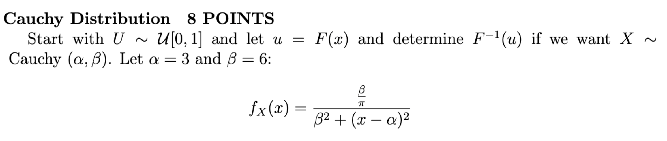
Question: Cauchy Distribution 8 POINTS Start with U ~ U[0, 1] and let u = F(x) and determine F-(u) if we want X ~ Cauchy (a,
![Cauchy Distribution 8 POINTS Start with U ~ U[0, 1] and](https://s3.amazonaws.com/si.experts.images/answers/2024/06/666885a2bb8b8_986666885a29cfae.jpg)

Cauchy Distribution 8 POINTS Start with U ~ U[0, 1] and let u = F(x) and determine F-(u) if we want X ~ Cauchy (a, B). Let a = 3 and B = 6: fx (20) = B2 + (20 - 0 ) 2
Step by Step Solution
There are 3 Steps involved in it
Get step-by-step solutions from verified subject matter experts
