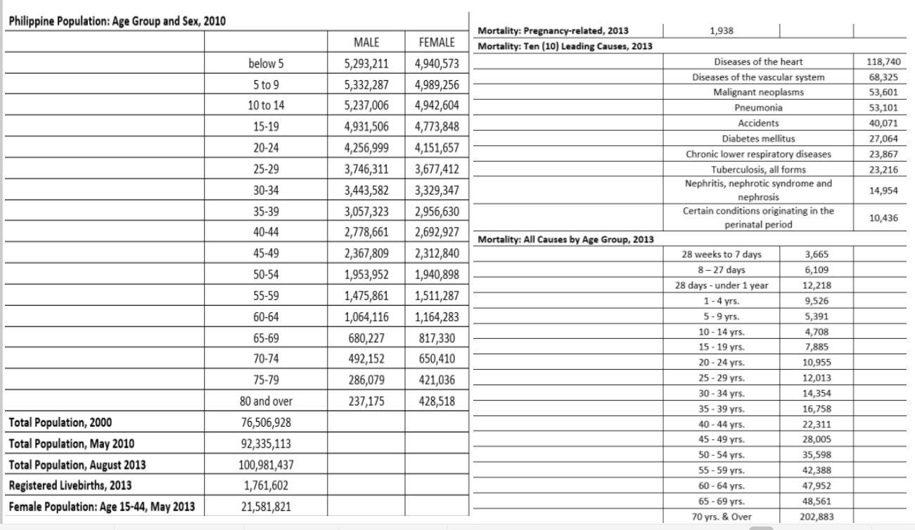
Question: Refer to the data set underneath Using the Population Census of 2010, interpret (write maximum of 1 sentence): a. Sex Ratio b. Sex Structure comparing
Refer to the data set underneath
- Using the Population Census of 2010, interpret (write maximum of 1 sentence):
a. Sex Ratio
b. Sex Structure comparing the sex ratio across different age groups
c. Median Age (Use this data to compute and compare: 1990 - maximum age 109; 2013 -
maximum age 95)
d. Age-Dependency Ratio

Philippine Population: Age Group and Sex, 2010 1,938 MALE FEMALE Mortality: Pregnancy-related, 2013 Mortality: Ten (10) Leading Causes, 2013 below 5 5 to 9 10 to 14 118,740 68,325 53,601 53,101 40,071 27,064 23,867 23,216 15-19 Diseases of the heart Diseases of the vascular system Malignant neoplasms Pneumonia Accidents Diabetes mellitus Chronic lower respiratory diseases Tuberculosis, all forms Nephritis, nephrotic syndrome and nephrosis Certain conditions originating in the perinatal period 20-24 25-29 30-34 14,954 35-39 10,436 40-44 5,293,211 5,332,287 5,237,006 4,931,506 4,256,999 3,746,311 3,443,582 3,057,323 2,778,661 2,367,809 1,953,952 1,475,861 1,064,116 680,227 492,152 286,079 237,175 4,940,573 4,989,256 4,942,604 4,773,848 4,151,657 3,677,412 3,329,347 2,956,630 2,692,927 2,312,840 1,940,898 1,511,287 1,164,283 817,330 650,410 421,036 428,518 Mortality: All Causes by Age Group, 2013 45-49 50-54 55-59 60-64 65-69 70-74 75-79 80 and over 76,506,928 28 weeks to 7 days 8-27 days 28 days - under 1 year 1 - 4 yrs. 5-9 yrs. 10 - 14 yrs. 15 - 19 yrs. 20-24 yrs. 25-29 yrs. 30-34 yrs. 35-39 yrs. 40-44 yrs. 45-49 yrs. 50 - 54 yrs. 55-59 yrs. 60-64 yrs. 65-69 yrs. 70 yrs. & Over 3,665 6,109 12,218 9,526 5,391 4,708 7,885 10,955 12,013 14,354 16,758 22,311 28,005 35,598 42,388 47,952 48,561 202,883 Total Population, 2000 Total Population, May 2010 Total Population, August 2013 Registered Livebirths, 2013 Female Population: Age 15-44, May 2013 92,335,113 100,981,437 1,761,602 21,581,821